液環真空泵內氣液兩相流動的數值分析

2009-10-11 黃思 華南理工大學機械與汽車工程學院

  液環真空泵是廣泛應用于石油、化工、冶金、礦山、電力、輕工等行業的基礎設備。液環泵內的流動屬于十分復雜的非穩態氣液兩相流動,目前還存在著能耗高、效率偏低等問題,而現有的理論分析無法準確描述液環真空泵內氣液兩相流動狀況。本文運用FLUENT流動軟件中的多相流歐拉分析方法結合滑移網格技術,模擬計算一單級單作用液環真空泵三維非穩態氣液兩相流動問題。計算區域包括液環泵進出氣段、葉輪、進水管及泵體,滑移界面分別設置在液環泵的進、出氣段與葉輪之間的交界面以及葉輪出口與泵殼間的交界面。模擬計算包括液環真空泵內氣液兩相流速、壓力、兩相分布等內容。計算結果表明:本文所采用的分析方法和手段,可以較好的模擬分析計算液環真空泵非穩態氣液兩相流動問題,對實現產品的優化設計,具有重要的工程指導作用。

  液環真空泵是一種以旋轉液體作為活塞,抽吸及壓縮氣體的回轉容積泵。當葉輪按順時針方向旋轉時,離心力的作用使工作液體甩向泵體四周形成液環,葉輪內流道與液環之間形成一個近似月牙形的空腔,該空腔被葉輪葉片分隔成若干個小空腔。隨著葉輪旋轉,吸氣時小空腔容積由小變大;吸氣停止后小空腔體積再由大變小,氣體被壓縮并排出泵體完成整個壓縮過程。液環真空泵具有轉子與泵體無接觸、等溫壓縮等特點,特別適用抽吸和壓縮易燃易爆、含粉塵、水蒸汽的氣體,在石化、冶金、電力、輕工、食品等行業有著廣泛且不可代替的應用。

  液環真空泵內的流動屬于十分復雜的非穩態氣液兩相流。現有液環泵小泵效率一般為30%~45%,大泵也只能達到50%左右。造成液環真空泵能耗高、效率低的主要原因是泵內氣液兩相流產生了較大的水力損失,而現有的理論及分析手段未能準確有效的描述泵內氣液兩相流動規律。

  隨著近年計算機軟硬件技術的迅速發展,運用計算流體力學(CFD)技術分析葉片泵內部流動性能已成為一個發展方向。但液環泵內的兩相流動遠比一般葉片泵的流動復雜得多:①泵內具有一個大小形狀未知的氣液兩相分界面,必須采用多相流的分析方法。②泵內的兩相流動是隨時間顯著變化的,必須采用非定常的分析方法。③常規葉片泵內各流道的流動基本相同,一般只需分析一個流道即可,而液環泵中每個葉片流道內的兩相流動是完全不同的,必須將整個液環泵流場作為一個整體進行分析。本文針對液環真空泵內非穩態氣液兩相流問題開展數值模擬研究,最終實現性能的可控制性及產品的優化設計,具有重要的科研價值及工程應用意義。

1、液環真空泵內非穩態氣液兩相分析模型

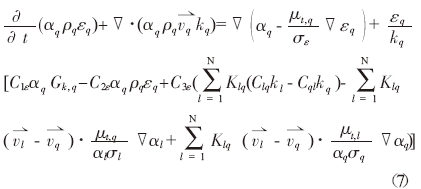
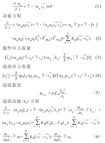
  基本方程組使用多相流動歐拉方法的標準k-e湍流模型,即分別在流體各相中引入k-e湍流模型。考慮相數為n 的多相流動的一般情形,各流相q的方程組為:

  連續方程

  湍流耗散率(εq)方程

  式中:αq是第q相的體積分數,且所有相的總αq和為1。t是時間;vqq是q相流速;ρq 是q 相密度;μq和λq是q 相的剪切和體積粘度;kq 是q相的湍流動能;εq 是相q 的湍流耗散率;μt,q 是q相的湍流粘度;qg是重力加速度;Kpq 是相p 和q間的動量交換系數;qFq 是q 相外部體積力;qFlift,q是相q 升力;qFVm,q 是q 相虛擬質量力。塄qvp 是q相流速梯度的張量矩陣;塄qvp' 是q 相流速梯度的轉置張量矩陣;[I]是單位張量矩陣;Cμ,C1ε,C2ε,C3ε 是湍流模型常量;Gk, q 是q 相平均速度梯度引起的湍動能;Clq,Cql是多相流模型常量。上述模型的具體處理方法可參見FLUENT 6.2用戶手冊。式(1)~(7)構成了瞬態兩相湍流的基本方程組。

2、模擬實例與計算前處理

2.1、液環真空泵主要設計參數

  選取一種單級單作用、徑向吸排氣的液環真空泵作為研究對象,其主要設計參數數據參見表1。

  表1 液環真空泵主要設計參數

2.2、兩相介質的物性參數

  選取水和空氣作為液環真空泵的液相和氣相,假設液相為不可壓流體,氣相為理想氣體。介質物性及操作參數見表2。

表2 兩種工作介質物性及操作參數