不同溫度、不同壓縮比的氣體時對水環真空泵抽氣量的影響

2014-09-04 陳維茂 山東淄博水環真空泵廠有限公司

  技術資料上的性能曲線及技術數據表是在水環真空泵抽吸空氣的條件下得出的。下面分析一下用于抽瓦斯氣體時,對進氣溫度和壓縮比(排氣壓力和進氣壓力之比)改變時對水環真空泵抽氣量的影響。

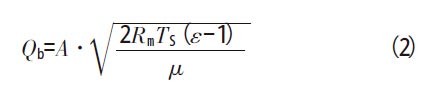
  眾所周知,水環真空泵屬容積式泵,容積式泵內部氣體從排氣側向吸氣側的泄漏主要是通過間隙(對于目前廣泛應用的2BE 系列軸向吸排氣泵,其間隙指的是葉輪兩端面與分配板之間的軸向間隙)泄漏,其泄漏量Qb 可用(2)式計算。

不同溫度、不同壓縮比的氣體時對水環真空泵抽氣量的影響

  式中:A———泄漏通流面積;

  Rm———常數Rm=μR;

  R———氣體常數;

  μ———氣體分子量;

  ε———排氣壓力pd 與吸氣壓力p1 比,ε= pd/p1;

  TS———氣體溫度(熱力學溫度)。

  從(2)式可以知道,泄漏量Qb 隨進氣溫度TS和壓力比ε 的增加而增加,隨分子量μ 的增加而減少,但與轉速無關。

  對于(2)式中Qb、TS、ε 和μ 四個參數,對應于狀態1(下標“1”)和狀態2(下標“2”)分別列出Qb1 和Qb2 兩式,然后將兩個狀態下的Qb2 和Qb1相除,可得:

  a、僅當進氣溫度改變,由Ts1 變成Ts2 時,泄漏量Qb2 為:

不同溫度、不同壓縮比的氣體時對水環真空泵抽氣量的影響

  如當進氣溫度為40 ℃時,其泄漏量為規定狀態(20 ℃)的1.03 倍(其余條件不變)。

  b、僅當壓力比由ε1 變為ε2 時,泄漏量Qb2 為:

不同溫度、不同壓縮比的氣體時對水環真空泵抽氣量的影響

  由(4)式可知,如果入口壓力均為400 hPa(絕壓),排氣壓力為當地大氣壓,高原地區(假定大氣壓力為800 hPa) 的泄漏量Qb2 是沿海地區(假定大氣壓力為1013.25 hPa)的0.8 倍,即在其他條件均相同的情況下,僅大氣壓力降低,即排氣壓力降低,泵的內部泄漏量明顯減小。

  c、僅當分子量由μ1 變為μ2 時,泄漏量Qb2 為:

不同溫度、不同壓縮比的氣體時對水環真空泵抽氣量的影響

  由(5)式可知,當被抽氣體由空氣(分子量μ1=28.96)變成瓦斯氣體時(按某研究單位提出的瓦斯混合氣體中瓦斯的濃度為50%,即CH4 為50%,N2 為39.8%,O2 為10%,CO2 為0.2%計算,混合氣體分子量約為μ2=22),泄漏量Qb2=1.15 Qb1,即是抽空氣時泄漏量的1.15 倍。

  泵的泄漏量是指由于排氣與進氣的壓力差,泵內部從排氣腔泄漏到吸氣腔的體積流率。現具體舉例說明,真空技術網(http://www.hzwlsy.com/)認為如果實測的泵在入口壓力為400 hPa 時抽空氣的體積流率為100 m3/min,按容積效率90%計算,這個泵的理論抽氣量是100/0.9=111 m3/min,那么泵的內部泄漏量為11 m3/min。根據公式(5)當抽瓦斯氣體時該泵內部的泄漏量理論上為12.7 m3/min,比抽空氣時泄漏量略大。

  d、當TS1、μ1、ε1 都同時改變為TS2、μ2、ε2 時,泄漏量變為:

不同溫度、不同壓縮比的氣體時對水環真空泵抽氣量的影響

  與 水環真空泵 相關的文章閱讀:

  1、水環真空泵在煤礦瓦斯氣體抽放工況下的應用與選型

  http://www.hzwlsy.com/pumps/jixie/liquid-ring-vacuum-pump/095458.html

  2、水環真空泵氣量的定義、測量方法及與標準工況的換算

  http://www.hzwlsy.com/pumps/jixie/liquid-ring-vacuum-pump/095453.html

  3、水溫、水量、水壓對水環真空泵的抽氣量的影響

  http://www.hzwlsy.com/pumps/jixie/liquid-ring-vacuum-pump/095452.html

  4、抽吸不同溫度、不同壓縮比的瓦斯氣體時對水環真空泵的抽氣量的影響

  http://www.hzwlsy.com/pumps/jixie/liquid-ring-vacuum-pump/095454.html

  5、等溫壓縮理論功率與水環真空泵效率的關系

  http://www.hzwlsy.com/pumps/jixie/liquid-ring-vacuum-pump/095455.html

  6、水環真空泵軸功率與轉速的關系

  http://www.hzwlsy.com/pumps/jixie/liquid-ring-vacuum-pump/095456.html

  7、對水環真空泵選型的幾點建議

  http://www.hzwlsy.com/pumps/jixie/liquid-ring-vacuum-pump/095457.html