基于PRO/E的新型齒輪泵設計

2009-10-25 楊林建 四川工程職業技術學院

1、現有泵結構與性能分析

  原有外嚙合齒輪泵工作原理是兩外嚙合齒輪反向轉動,在吸油腔內輪齒逐漸分離,油液在大氣壓作用下,進入吸油腔后隨齒輪旋轉帶到壓油腔。然后輪齒逐漸嚙合,壓力升高后油液被擠出輸送到壓力回路中。其傳動原理如圖1所示。

齒輪泵傳動原理

圖1 齒輪泵傳動原理

  這種齒輪泵存在以下不足:

  (1)密封容積小,故流量小且不可調,工作效率低;

  (2)工作中每一對輪齒嚙合時容積變化不均勻。會形成較大流量和壓力脈動,并產生振動及噪聲;

  (3)齒輪泵泄漏較多,能量損失較大;

  (4)齒輪軸及軸承所承受的徑向力不平衡,可能導致傳動軸彎曲變形,齒頂和泵體內壁產生摩擦。

  為了克服這些不足,作者設計了一種新型齒輪泵,可以增大泵的流量,提高泵的工作穩定性。

2、異形齒輪泵設計

2.1、異形齒輪泵組成

  異形齒輪泵組成如圖2所示。

異形齒輪泵結構

圖2 異形齒輪泵結構

2.2、工作原理

  花鍵軸一端與外部設備電動機相連接。另一端是花鍵槽,它與主動齒輪相配合帶動主動齒輪轉動, 6個從動齒輪與主動齒輪形成外嚙合。主動輪順時針轉動時6個從動輪逆時針轉動,相當于6組普通齒輪泵同時工作。由于6個從動輪在主動輪的周圍對稱分布,工作時產生的徑向力能相互抵消,噪聲和振動比傳統齒輪泵有明顯降低。在此設計了一種雙模數的異形齒輪傳動代替傳統齒輪傳動。由于大齒輪的作用,齒輪泵流量提高。異形齒輪結構如圖3所示,異形齒輪泵工作原理如圖4所示。

異形齒輪結構圖異形齒輪泵工作原理

圖3 異形齒輪結構圖        圖4 異形齒輪泵工作原理

2.3、異形齒輪泵的各項性能參數

2.3.1、異形齒輪泵各項參數

  通過設計,確定齒輪泵的各項技術參數為:

(1)從動輪主要技術參數

  大齒模數m大=2.25mm, 小齒模數m小=0.75mm,從動輪小齒齒數Z小=24,從動輪齒槽數n′=3,從動齒輪個數n=6,從動輪齒頂圓直徑da=21.75mm,從動輪齒根圓直徑df=20.25mm,從動輪開槽深度h=3.375mm=主動輪大齒齒高,從動輪寬度B=主動輪寬度=20mm。

(2)主動輪主要技術參數

  大齒模數m大=2.25mm, 小齒模數m小=0.75mm,主動輪小齒齒數Z小=72,主動輪大齒齒數Z大=8,主動輪個數n=1,主動輪小齒齒頂圓直徑da1=55.5mm,主動輪小齒齒根圓直徑df=52.125mm, 主動輪大齒齒頂圓直徑da2=58.5mm。

2.3.2、異形齒輪泵的排量

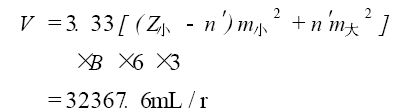
  齒輪泵排量是指按泵的密封腔幾何尺寸變化計算而得的泵每轉排出液體的體積。齒輪泵排量等于齒輪所有齒槽容積之和。

  假若齒槽容積等于輪齒體積,則齒輪泵排量等于1個齒輪的齒槽容積和輪齒的總和。實際上齒槽容積稍大于輪齒體積,故Φ 取為3.33,計算可得異形泵排量: 

式中V ———異形泵排量, mL/r
  n′———從動輪的齒槽數, n=3
  B ———從動輪的寬度,B=20mm

  通過試驗,對異形齒輪泵的各項參數進行了測量,測量結果見表1。

表1 異形齒輪泵的技術參數

異形齒輪泵的技術參數