水環真空泵選型設計中泵入口絕對壓力的計算

2009-08-16 張國慶 陽煤集團機電動力部

  水環真空泵與其它類型的瓦斯抽放設備相比,具有運行噪音小、拆裝、維護方便、適用范圍廣等優點,特別是當抽出瓦斯濃度達到爆炸界限時,也沒有爆炸危險,具有較高的安全性。因此,在瓦斯濃度經常變化的礦井已逐步取代羅茨真空泵,使用日益廣泛。在水環真空泵選型計算中,泵入口絕對壓力如何計算,將直接影響到泵流量的確定,采用不同的計算方法,結果會相差很多,一些問題值得探討。

1、水環真空泵選型設計中有關參數的確定

  我們知道,礦井瓦斯抽放量、瓦斯泵壓力、泵入口絕對壓力是水環真空泵選型設計中重要的3個參數。

1.1、礦井瓦斯抽放量

式中: QK ———礦井瓦斯抽放量,m3 /min;

  ΣQc ———礦井抽出的純瓦斯量之和,m3 /min;

  X ———瓦斯泵入口處瓦斯濃度, X ≥0.3;

  η———瓦斯泵效率, 0.8;

  K———抽放備用系數, K = 1.2。

1.2、瓦斯泵壓力

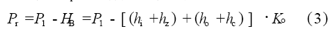
  瓦斯泵壓力是從井下鉆孔開始,經過瓦斯抽放管路至瓦斯泵,再從瓦斯泵送到用戶所消耗的全部阻力損失之和,即:

式中: HB ———瓦斯泵壓力, Pa;

  hi ———井下負壓管路系統全部阻力損失, Pa;

  hz ———井下抽放鉆場或鉆孔口所需負壓, Pa;

  ho ———地面正壓管路系統全部阻力損失, Pa;

  hc ———用戶在瓦斯管出口所需正壓, Pa;

  K———備用系數, K =1. 2。

1.3、泵入口絕對壓力

  當前,水環真空泵入口絕對壓力Pr通常是取泵所在地大氣壓力P1 與瓦斯泵壓力的差值。即:

式中: Pr ———泵入口絕對壓力, Pa;

  P1 ———當地大氣壓, Pa;

  其它符號意義同式(2) 。

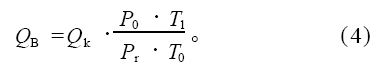
  目前,我國水環真空泵性能曲線都是按照工況狀態的流量繪制的。水環真空泵性能曲線是在出口壓力P0 = 101 325 Pa、進氣溫度T0 = 273 + 20 K狀態下,不同直徑的葉輪在不同轉速時泵吸入口吸氣量與吸入口處絕對壓力間的關系曲線。所以,需要將按照公式(1)計算得到的標準狀態下的礦井瓦斯抽放量換算成工況狀態下流量,即:

式中: QB ———泵入口吸氣量,m3 /min;

  Qk ———礦井瓦斯抽放量,m3 /min;

  P0 ———標準大氣壓, P0 = 101 325 Pa;

  T0 ———瓦斯抽放行業標準規定的標準狀態的絕對溫度, T0 = 273 + 20 , K;

  Pr ———泵入口絕對壓力, Pa;

  T1 ———泵入口抽放氣體的絕對溫度, 273 + t ,K;

  t———泵入口抽放氣體的溫度, ℃。

  經分析計算,當T1 - T0 ≤15 ℃時,溫度變化對泵吸氣量的影響小于5 % ,所以在選型過程中一般可假設T1 = T0 ,忽略溫度的影響。因而,泵入口絕對壓力Pr 就決定著水環泵入口吸氣量的大小。

  根據公式(3)和(4) ,當泵所在地大氣壓力越低,則泵吸入口絕對壓力就越小。為滿足礦井瓦斯抽放量的要求,泵的吸氣量應是礦井瓦斯抽放量的P0 /Pr 倍。