影響滑閥真空泵極限真空度的因素分析

2009-04-28 何敏劍 浙江真空設備集團有限公司

       影響油閥泵極限全壓力的關鍵因素是間隙;y泵的極限全壓力主要由極限壓力(不可凝氣體的壓力) 和飽和蒸汽壓(可凝氣體的壓力)組成。滑閥泵泵腔內的各運動部件間由于存在一定的間隙,在氣體壓縮排出階段會有部分氣體因壓力超過進氣壓力而通過間隙返流,而進氣口端潤滑油的飽和蒸汽壓與返流無關,因此返流影響滑閥泵的極限壓力。

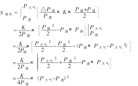
       下面討論間隙對滑閥泵極限壓力的影響。對于單級滑閥泵,返流造成的抽速損失為:

滑閥泵返流造成的抽速損失 

       由于滑閥泵內的氣流屬于粘滯流,所以可設:

 

       式中S 損失—— 單級滑閥泵的抽速損失

              Q 返流—— 單級滑閥泵的返流的氣體流量

              P 排—— 單級滑閥泵的排氣壓力

              P 進—— 單級滑閥泵的進氣壓力

              C 間隙—— 滑閥泵各主要運動件之間間隙的流導

             滑閥泵間隙總的流導系數

             滑閥泵在進氣壓力達到極限壓力時,滑閥泵的實際抽速為零,排氣閥一直關閉,可得:

 

             當滑閥泵達到極限壓力時,滑閥泵的實際抽速為零,即有:

 

                式中S 理論—— 單級滑閥泵的理論抽速

               P 極限—— 單級滑閥泵的理論極限壓力

               P 大氣—— 大氣壓力

           上式推出單級滑閥泵的理論極限壓力P 極限與間隙的關系,滑閥泵的實際極限壓力總是大于理論極限壓力P 極限,實際運行中,滑閥泵需要潤滑油潤滑和密封,潤滑油的密封效果越好,實際極限壓力與理論極限壓力越接近;潤滑油的密封效果越差,實際極限壓力與理論極限壓力相差越大,滑閥泵的理論極限壓力是實際極限壓力的基礎。同時,由于間隙的大小會影響潤滑油的密封效果,由此可以得出這樣一個結論:單級滑閥泵的間隙越小,則泵的理論極限壓力越低,潤滑油的密封效果好,從而使得滑閥泵的實際極限壓力低。

           雙級滑閥泵是由高真空級與低真空級串聯而成,下文用高缸代表高真空級,用低缸代表低真空級。同理,對于雙級滑閥泵,返流造成的低缸的抽速損失由上文可得:

 

            式中S 低缸理論—— 雙級滑閥泵低缸的理論抽速

            P 低缸極限—— 雙級滑閥泵低缸的極限壓力

            P 大氣—— 大氣壓力

            K 低缸—— 雙級滑閥泵低缸間隙總的流導系數

            高缸在極限壓力附近的返流為分子流狀態,則此時高缸的間隙流導與壓力無關,只與高缸間隙大小相關,所以可設此時高缸的間隙流導為C 高缸。高缸沒有排氣閥,高缸的排氣壓力始終與低缸的進氣壓力相同,所以可得:

 

            式中S 高缸理論—— 雙級滑閥泵高缸的理論抽速

             P 極限—— 雙級滑閥泵的理論極限壓力