非蒸發型吸附泵的工作原理及抽速計算公式

2014-09-27 郭方準 實用真空技術

  非蒸發型吸附(NEG)泵是利用材料的化學活性,進行表面吸附或者繼續引起內部擴散而實現排氣的泵,吸附材料主要是Zr84%Al16%或Zr70%V24.6%Fe5.4%的合金粉末。和升華泵一樣,主要針對氫氣、氧氣、氮氣以及一氧化碳排氣。

  非蒸發型吸附泵不需要材料的熱蒸發,對真空腔體沒有污染,近年來被廣泛應用于加速器等大規模真空系統中。非蒸發型吸附泵和離子泵的組合使用,是獲得極高真空的手段之一。

  把升華泵、離子泵、低溫泵和非蒸發型吸附泵都歸類為吸附泵,下面計算一下它們的抽氣速度。

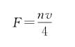
  吸附泵的吸附材料在單位時間和單位面積內捕捉到的分子數和入射頻度F相等。F和分子密度n、分子平均速度v的關系為

非蒸發型吸附泵的工作原理及抽速計算公式

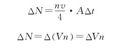
  假設吸附材料的面積是A、吸附期間分子密度n保持不變,則Δt時間內吸附的氣體分子數 ΔN等于FAΔt,即

非蒸發型吸附泵的工作原理及抽速計算公式

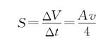
  則排氣速度S為

非蒸發型吸附泵的工作原理及抽速計算公式

  因此排氣速度S取決于分子的平均速度和吸附材料的面積(泵的有效開口)。考慮實際上真空泵的吸附效率H,上式應改為

非蒸發型吸附泵的工作原理及抽速計算公式

  針對20℃的空氣(相對分子質量為29,v=464m/s),則

非蒸發型吸附泵的工作原理及抽速計算公式

  如果有效開口面積A為20cm2,效率 H 為30%,則S=70L/s。