中性束系統大抽速低溫泵的參數和計算

2009-09-17 江濤 核工業西南物理研究院

1、低溫泵的抽速

  中性束系統基本結構由離子源、中性化器、偏轉磁鐵、離子吞噬器、熱測靶等主要部分組成。而這些部件中主要的氣體負荷來自于離子源和離子吞噬器,如圖8 所示。

中性束系統基本原理示意圖

  圖8 中性束系統基本原理示意圖

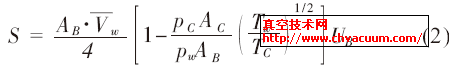
  關于低溫泵理論抽速計算,由公式(1)可以得到抽氣量為:

  式中:I+為總的引出電流(A);i為每個離子成分的質量數;Γi為束對應成分的百分數(參考值可以取:0.84:0.13:0.03);ηg 為效率系數(可以取0.28 為參考值)。對于HL-2M NBI的設計參數目前考慮為60 kV,35 A,3~5s,那么由公式(1)就可以得到抽氣量Qs為1253Pa·L/s。依據帶有擋板的低溫泵的抽氣速率公式(2):

式中S———泵的抽氣速率,m3/s
  Vw———氣體分子平均速度,m/s
  pC———冷凝板氣體壓力
  pw ———真空規氣體壓力,Pa
  Tw———真空規氣體溫度
  TC———冷凝板氣體溫度,K
  UB———屏蔽板的流導概率
  AB———屏蔽板的面積
  AC———冷凝板的面積,m2
  W,B,C———分別表示真空規、屏蔽板、冷凝板

  當低溫冷凝板的溫度TC 為低于12 K 時公式(2)可以簡化為:

  屏蔽板的流導概率UB 是由其幾何形狀決定的,所以根據我們設計的夾角為90°,可以查真空手冊知道此時的流導概率UB為0.48;由氣體分子運動論中不難知道,氣體分子熱運動平均速度約為500m/s; 屏蔽板的面積A約為4.32m2;所以我們可以得到單個泵體的理論抽氣速率就為259m3/s,總的理論抽速則為518m3/s。對應前面的氣量計算,是能夠滿足需要的。

2、熱負荷

  低溫泵中冷凝板的熱負荷來源主要是三個方面:(1)氣體冷凝的熱負荷(2)周圍壁板的輻射熱負荷(3)支撐結構傳入的熱量。由于中性束功率將達到幾個兆瓦,所以在脈沖運行過程中盡管束線各個部件都有水冷卻系統但是仍然會達到很高的溫度。這些熱量又會輻射到低溫泵的77K低溫擋板上,最終熱輻射的多少決定了總的熱負載。所以在中性束系統中對低溫泵而言輻射熱負荷是主要的。對應的工作狀態可以分為以下三種:

  第一種,穩態運行;束線各個部件都被內部的水管冷卻,所以可以認為部件此時溫度就是冷卻水的溫度。此時中性化器不再放氣,這樣在這個低氣壓的真空室內(10-3~10-4Pa)是分子流狀態的氣體熱傳導;

  第二種,脈沖運行;可以估計這情況下各部件的溫度將上升到甚至100℃,氣體負荷會首先被擋板冷卻,接下來全部負載到4.5K的低溫冷面上。在這里,仍然是分子流狀態的氣體熱傳導;

  第三種,再生過程;要析出低溫冷面上吸附的氣體,必須將其加熱到大約100K的溫度。氣體析出后,這些已知的氣體熱負載會傳導到屏蔽層上,真空室內壓力會增加,最后由前級抽氣系統除去。此時氣體主要處于粘滯流狀態;

  按照HL-2M中性束系統設計參數60kV,35A,3~5s以及該低溫泵的幾何設計尺寸,那么低溫泵的熱負荷情況大致如下:

相關文章閱讀:

中性束系統大抽速低溫泵的工作原理

中性束系統大抽速低溫泵的基本結構

中性束系統大抽速低溫泵的參數和計算