常用的標準漏孔的兩種校準方法

2008-09-24 真空技術網 真空技術培訓講座

    標準漏孔的常用校準方法有定容升壓法和氦質譜檢漏儀比較法。

    (1)定容升壓法

    定容升壓法校準系統示意圖如圖12所示。

定容升壓法校準標準漏孔系統示意圖 

圖12:定容升壓法校準標準漏孔系統示意圖

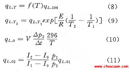
       經預抽并烘烤容積V后,標準漏孔進氣端壓力p1<1.33×103Pa,而V達到極限真空。當壓力為1.01×105Pa的校準氣體(例如N2氣)經標準漏孔流進容積V,并在V中壓力p2穩定后,關閉閥門S2記錄時間和環境溫度T,測出對應Δt時間的升壓Δp2則標準漏孔的漏率為式(10)。

    (2)氦質譜檢漏儀的比較法

    氦質譜檢漏儀比較法校準系統如圖13所示。

氦質譜檢漏儀的比較法校準標準漏孔示意圖 

圖13:氦質譜檢漏儀的比較法校準標準漏孔示意圖

在檢漏儀工作條件不變的前提下,先后測出已知漏孔L1和待校漏孔L2的進氣氦壓和訊號,則待校標準漏孔的漏率為式(11)。式中,qL,01-已知標準漏孔L1的漏率;p1,p2-分別為L1、L2漏孔進氣端氦壓;I1,I2-分別為L1,L2漏孔的輸出訊號;I0-檢漏儀本底。