壓降檢漏的影響因素

2010-06-28 馮琪 中國空間技術研究院

  壓降法是常用的檢漏方法。一般認為用壓降法進行檢漏測試時,最內部容積、壓力計和溫度計的測量精度及測試周期有關。本文通過試驗證明,進行檢漏測試時,艙體內部溫度的不均衡性同 樣是漏率判讀的重要影響因素,小可檢漏率同被檢件的在對大型復雜艙體結構并提出了解決方案。

1、前言

  壓降法是常用的檢漏方法,廣泛地應用在密封產品的檢漏測試中,在國防工業產品檢漏中的應用也極為廣泛。根據某型號大型艙體的工作壓力和漏率設計指標,最終選擇用壓降法進行檢漏。經選擇合適的壓力計、 溫度計,并進行誤差分析確測試系統精度滿足漏率指標后,在多次檢漏中卻發現有時在經過測試周期后,經計算得到的密封系統的壓力值不下降反而升高了,這是不可能的。為找到原因,并合理地解釋此現象,我們分析了影響因素并進行了測試試驗,驗證了艙體內部溫度的不均衡是造成檢漏失敗的主要原因。

2、壓降檢漏法

2.1、定義

  壓降檢漏法是被檢件中充入規定壓力的氣體后,在規定測試時間內 測量壓力的變化,計算出漏率的方法。最小可檢漏率與被檢件的保壓時間、內部有效容積和測試設備有關。

2.2、原理

  將被檢件內部充入一定壓力的氣體,使被檢件內外形成規定的壓力差。經過適當的穩定時間后,在規定的測試周期內按一定的時間間隔讀取被檢件內部的壓力和溫度,經計算得到被檢件的漏率,原理圖見圖1。

2.3、計算公式

2.3.1、壓降檢漏的漏率一般按式1 進行計算

  Q=V/t ×(P1- T1/T2 ·P2)...............(1)

式中:

  Q---流量漏率,Pa.m3/s ;
  V---被檢件的內部容積, m 3 ;
  t---測量周期,s ;
  P1---被檢件內部壓力初值,Pa ;
  T1---被檢件內部溫度初 值,K ;
  P2---被檢件內部壓力終值,Pa ;
  T2---被檢件內部溫度終值,Ka

2.3.2、當漏率指標為規定時間內的壓降值時,按式2計算漏率。

△P=P1-T1/T2·P2...............(2)

  式中:

  △P 一規定時間內的壓降值,Pa;

  P1、P2、T1、T2同上。

3、型號測試介紹

3.1、型號檢漏主要技術指標

  (4)被檢件內部容積:約16m3 ;

  (5)允許壓降值△ P≤ -500Pa/24h ;

  (6)檢漏壓力:100kPa(表壓):

3.2、壓力計和溫度計技術指標

  (1)壓力計測量范圍:O Pa ~250kPa( 絕壓);

  (2)壓力計分辨率:1Pa ;

  (3)壓力計精度:10Pa ;

  (7)溫度計分辨率:0.01 ℃;

  (8)溫度計精度:0.05℃

3.3、測試系統不確定度分析

3.3.1、不確定度計算公式

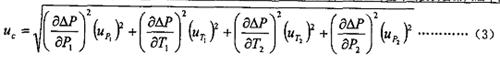
  由式2可得,測試系統的合成標準不確定度按式3進行計算。

  μc---合成標準不確定度, Pa ;

  μP1---壓力初值測量的標準不確定度, Pa;

  μT1---溫度初值測量的標準不確定度,℃ ;

  μT2---溫度終值測量的標準不確定度,℃ ;

  μp2--- 壓力終值測量的標準不確定度,Pa。

3.3.2、測試系統不確定度計算

  根據型號檢漏某次的測試值,得到壓力初值P1為199.730kPa,溫度初值T1為22.63℃,壓為終值P2為199. 873kPa, 溫度終值T2為22.75℃, μp1 = u p2=10Pa,  μT1 = μT2=0.05℃,則得到:

3.3.3、結論

  因測試系統的合成標準不確定度遠遠小于允許的壓降值,因此在理想狀態下,測試系統能滿足測試精度的需要,應不會出現壓降值為負值的現象

4、現象分析及驗證

4.1、其它影響因素

4.1.1、以上結論是建立在被檢型號內部的檢漏氣體為理想的非可凝氣體的假設上,而在實際測試中是在環境條件下向 其內部充入100kPa的高純氮氣,即測試氣體中含有50%的空氣。所以,水蒸氣分壓的變化也可能是影響壓力測量的因素。

4.1.2、被檢型號體積較大(通常達10 m3以上)、內部較復雜。雖然檢漏測試在凈化間內進行,但溫度并不恒定。 所以,經過較長的穩定時間后,在測試周期內其內部的溫度可能并不均衡,由此而影響溫度測量的準確性。

4.2、驗證試驗

4.2.1、驗證試驗設計

  根據以上分析,在圖1的基礎上,在被檢型號的不同位置安裝了2 個溫度傳感器,按相同要求對其進行壓降法檢漏測試,數據見表1。同時,為避免2個溫度傳感器之間的零點差異,對同一溫度點進行了比較測試,數據見表2。

4.2.2、數據計算

  根據以上數據,分別計算了理想狀態下的壓降值△Pa、△Pb,除去水蒸氣分壓后的壓降值△P'a 、△P'b及兩點溫度平均后的壓降值△ P,數據見表3。

4.2.3、結論

  由以上數據可以得出,對于此型號及與其情況相似的大型密封結構的檢漏,在測試系統精度滿足漏率要求的情況下,水蒸氣分壓對測試結果影響不大,而準確獲得被檢結構內部的溫度是測試的關鍵。應盡可能地多取測溫點并取其平均值進行計算。