氦質譜非真空積累檢漏法中幾個問題的研究

2012-04-23 王勇 北京衛星環境工程研究所

  氦質譜非真空積累檢漏法被廣泛應用于航天器的總漏率測試中, 因此研究氦質譜非真空檢漏法具有重要的工程實際意義。本文首次詳細給出了氦質譜非真空積累檢漏法計算公式的詳細推導過程, 同時討論了采用柔性收集室技術可能產生的一些問題。研究結果表明: 氦質譜非真空積累檢漏法有著嚴格的理論依據; 柔性收集室的技術在理論上是可行的。本文的研究結論可以為氦質譜非真空積累檢漏法的工程應用提供理論依據。

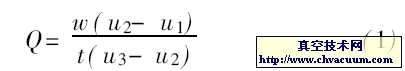
  航天器的密封性能指標是衡量航天器質量高低的一個重要參數, 它直接地關系到航天器發射和在軌運行的成功與否, 微小的漏孔也可能造成巨大的損失。因此, 在總裝過程中對航天器要進行嚴格的檢漏測試[1] 。總裝過程中的檢漏測試主要包括單點檢漏測試和總漏率測試。現階段的總漏率測試主要采用氦質譜非真空積累檢漏法, 因此, 研究氦質譜非真空積累檢漏法具有重要的工程實際意義。該方法所采用的測試系統主要包括收集室、檢漏儀、大氣基準氣體氣源、示漏氣體采樣系統和漏率標定系統等。其基本工作原理如下: 通過充氦設備向被檢航天器中充入He 氣, 密封好后放入收集室中, 通過大氣基準氣體校準檢漏儀, 測得航天器的漏率初值u1; 當航天器在收集室中放置累積一段時間t 后, 再次測試收集室中漏出的He 氣的濃度, 得到航天器的漏率終值u2; 通過取樣系統在收集室中放入標準氣量w , 檢漏儀的對應輸出為u3, 則航天器的漏率Q為[2]

  國外航天器已經成功應用該項技術四十余年,如歐洲空間局和歐洲空間中心、法國、意大利均采用相似的檢漏方法, 并先后建立了多個由剛性非真空收集室組成的檢漏系統, 本文不再累贅, 具體可見文獻[3]

  在國內, 氦質譜非真空積累檢漏法主要由北京衛星制造廠的閻治平研究員建立和完善的。1994年, 閻治平[4] 初步介紹了該檢漏方法的原理, 檢漏靈敏度以及測試誤差分析, 指出了應用該方法測試航天器總漏率的正確性和可行性, 為該種檢漏方法在國內的傳播奠定了基礎; 1997 年, 閻治平[5- 6] 又詳細論述了該檢漏方法的原理、標定方法、檢漏靈敏度及影響因素以及測試誤差等, 進一步闡述了該方法的合理性。直至今日, 該檢漏方法已成功完成了十幾顆衛星、飛船的總漏率測試, 為保證航天器的密封性能做出了重要的貢獻。2001 年, 閆榮鑫[7] 在此基礎上又研制出非真空條件下的質譜分析多系統檢漏法, 從而使得一次檢漏可以完成多個檢漏系統的檢漏, 大大提高了檢漏效率。

  在以上闡述的氦質譜非真空積累檢漏法的測試系統中, 都需要一個剛性的收集室, 但其存在著建設費用高, 建設周期長, 通用性差等缺點, 因此, 柔性收集室的研制則應運而生了。1966 年, J. L. Manganaro和D. L. Hollinger[8] 在美國加利福尼亞的噴氣動力研究實驗室對柔性收集室進行了試驗性研究, 開創了柔性收集室研究的序幕。美國航天局NASA[3] 現已研制出一種柔性收集室檢漏系統, 該系統中的收集室由剛性支架組成, 外面包裹一層鍍鋁薄膜, 并用膠帶進行密封。該檢漏系統于2002 年成功完成了Terra 號飛船發射前檢漏工作。在國內, 北京衛星制造廠目前對柔性收集室已進行了一些試驗性的研究, 并開發出了支架型 和懸掛型兩種類型的柔性收集室[3]

  縱觀以上氦質譜非真空積累檢漏法國內外的研究現狀, 可見氦質譜非真空積累檢漏法現已基本成熟, 但仍有一些基礎性的問題值得討論和完善。如國內外的資料都是直接給出計算式(1) , 尚沒有資料給出式(1) 的詳細推導過程; 由采用柔性收集室而帶來的收集室的密封性、體積變化等因素對檢漏測試結果的影響等問題, 尚沒有一個定論。本文則嘗試在這些基礎性問題方面做一解釋, 以期解釋這些問題。

氦質譜非真空積累檢漏法的示意圖

1、式(1) 的推導

1.1、逆流檢漏儀的定量研究

  檢漏儀是氦質譜非真空積累檢漏法測試系統中的核心設備, 因此有必要先對檢漏儀進行定量的研究。現階段所采用的檢漏儀幾乎都是逆流檢漏儀,其一般原理圖可見圖2。

逆流檢漏儀的一般原理圖

3、結論

  本文詳細給出了氦質譜非真空積累檢漏法計算公式的詳細推導過程, 同時討論了采用柔性收集室技術可能產生的一些問題。研究結果表明: 氦質譜非真空積累檢漏法是合理的; 柔性收集室的技術在理論上是完全可行的。

參考文獻

  [1] 王勇, 黃錫寧, 孫立臣. 氦質譜檢漏儀入口壓力與顯示值的關系研究[J] . 真空科學與技術學報, 2011, 31(1) : 32- 36
  [2] 氦質譜非真空積累檢漏法[J] . Q/ W 915- 2001
  [3] 回天力. 非真空收集器氦質譜檢漏技術在航天領域的應用研究[A] . 航天五院情報課題, 2009
  [4] 閻治平. 非真空He 檢漏法[J] . 宇航材料工藝, 1994, (1)
  [5] 閻治平, 黃淑英. 非真空收集器質譜檢漏的研究[J] . 真空科學與技術學報, 1997, (1)
  [6] 閻治平, 黃淑英. 非真空收集器質譜檢漏技術[J] . 中國空間科學技術, 1997, (10)
  [7] 閆榮鑫, 劉􀀁 平, 馮􀀁 琪, 等. 質譜分析多系統航天器檢漏研究[J] . 中國空間科學技術, 2001
  [8] Manganaro J L, Hollinger D L. Quantitative Leak Test DesignGuide[ J] . NASA, 1967
  [9] 程守洙, 江之永. 普通物理學[M] . 北京: 高等教育出版社, 2007