常用壓降檢漏法的基本原理及誤差分析

2009-02-01 閆榮鑫 中國空間技術研究院

         壓降檢漏法是常用、發展成熟的檢漏方法之一,盡管要求的檢測時間較長、無其他輔助方法時無法定位,但因可以利用在被檢件上安裝的壓力計進行檢漏且對檢漏氣體無特別要求而被廣泛地應用在航空、航天、儀器、儀表等行業,是行之有效且簡單實用的檢漏方法之一。目前的壓力變化檢漏有絕對壓降檢漏法和差壓檢漏法兩種,前者已廣泛應用,后者正在逐漸應用。

1  常用壓降檢漏法

(1) 常用壓降檢漏法的基本原理

       常用的壓降法檢漏法原理如圖1 所示, 一般由測壓設備、測溫設備、充氣設備和氣源(氣瓶) 組成。

壓降法檢漏的原理示意圖 

圖1  壓降法檢漏的原理示意圖

         測試時對被檢件用干燥氮氣(或其他干燥氣體)通過充氣管道充到一定壓力(一般與被檢件的工作壓力一致) 后, 隔斷氣源, 觀察被檢件內壓力隨時間的下降情況。如果被檢件的容積為V,在Δt時間內,被檢件內的壓力降為ΔP, 那么被檢件的總漏率Q 為

(2) 壓力差的確定

        在通常的測試中, 因為測試的壓力為相對大氣的壓力, 測試時的大氣壓力在不同的測試時間,測試地點都不同, 在相對測量中還需對測試時的大氣壓及被檢件中的壓力進行測試。被檢件中氣體壓力隨著環境溫度升高而升高, 隨著環境溫度的降低而減少, 實際漏氣引起的壓力降應扣除溫度和大氣壓的波動。目前采用式(2) 確定壓力差[1] :

       式中ΔP 為被檢件泄漏造成的壓力降; P1 為保壓前的被檢件壓力初值; A1 為保壓前的大氣壓初值; T1 為保壓前的被檢件溫度初值; P2 為保壓后的被檢件壓力終值; A2 為保壓后的大氣壓終值;T2 為保壓后的被檢件溫度終值。

(3) 有效容積的確定

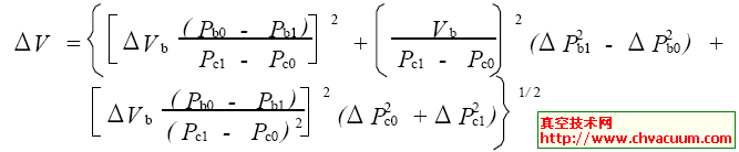
       一般采用膨脹法對被檢件的有效容積進行測試, 必須有一準確的標準容積。標準容積的準確性對被檢件測試十分重要。一般的高純氮氣瓶, 雖然都標有容積, 但因差別較大, 通常采用高精度Metler Toledo 的稱重儀, 通過測試壓力、溫度、氣體凈質量, 可計算出氣瓶的標準容積為

       式中M 為標準容積內氣體的質量; P 為標準容積內氣體的壓力; T 為標準容積內氣體的溫度; R為氣體常數; u 為氣體的摩爾質量。被檢件的容積是通過將標準容積V b 中的壓力膨脹, 測定平衡壓力為

式中 V 為被檢件的測試容積; Pb0 為標準容積的壓力初值; Pb1 為標準容積的壓力終值; Pc0 為被檢件的壓力初值; Pc1 為被檢件的壓力終值。

(4) 常用壓降檢漏法誤差分析

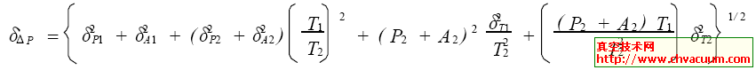
根據式(2) , 壓力變化測量的絕對誤差可表示為[2 ]

 

式中 δΔP為被檢件壓力降測量的絕對誤差; δP1 為被檢件壓力初值測量誤差; δA1 為大氣壓力初值測量誤差; δP2 為被檢件壓力終值測量誤差; δA2 為大氣壓力終值測量誤差; δT1 為被檢件溫度初值測量誤差; δT2為被檢件溫度終值測量誤差。由式(4) 可得被檢件有效容積測試的絕對誤差:

 

式中 ΔV 為被檢件容積的誤差; ΔV b 為標準有效容積誤差; ΔPb0 為標準容積壓力初值測試誤差;ΔPb1為標準容積壓力終值測試誤差; ΔPc0 為被檢件壓力初值測試誤差; ΔPc1 為被檢件壓力終值測試誤差。

采用絕壓測量, δP1 =δP2 =δA1 =δA2 = 25Pa , δT1 =δT2 = 011 K作為測量的一個特例, 式(5) 估算壓力的測量的絕對誤差為:P1 = 100100kPa , P2 = 99100kPa , A1 = 101100kPa , A2 = 100100kPa ,T1 = 273 ℃+ 25 ℃, T2 = 273 ℃+ 23 ℃, ΔP = 655Pa , δΔP = 118Pa按照式(3) , 測得標準氣瓶的容積為42159L , 按照式(6) 標準容積的誤差為ΔV b = 7115L 。

如被檢件有效容積測試中, 標準氣瓶的壓力從1210MPa 下降至814MPa , 將被檢件從5180kPa充至20100kPa , 被檢件溫度從1416 ℃變化到1415 ℃。

根據式(4) 、(6) , 計算出被檢件的有效容積及絕對誤差值V = 10180 , ΔV = 1191 。其中有效容積的測試相對誤差達1717 %。