陰極平板二極管測試狀態分析

2009-12-25 于志強 北京真空電子技術研究所

  在陰極測試工作中,常常選擇水冷陽極的近距二極管結構進行測試,但是在實際測試過程中有較多的測試結果與理論推導是有出入的。尤其是導流系數的在空間電荷區的變化,本文就可能的原因進行討論和分析,并通過一些計算模擬對測試結果進行解釋。

  陰極作為大功率真空器件的核心,為滿足各類器件的要求而不斷更新發展,從最早的純金屬陰極到目前廣泛應用的各類擴散陰極。為評估性能,陰極必須安裝在一定的測試載體中,目前廣泛采用的測試載體通常有兩種,一種是專用電子槍,需要較復雜的測試系統,測試成本較高,實施起來有一定難度;另一種常用的測試載體即常說的水冷陽極二級管,結構簡單,測試系統容易搭建,較容易實現;但是因為其結構的不一致性等問題,多數人對這種測試結果持保留態度。由于水冷陽極二級管結構簡單,測試容易,在實際研究工作依然得到了廣泛應用。二極管的伏安特性是評估陰極性能常用方法,通過二極管的伏安特性曲線可以給出陰極的最大發射電流密度。但是在繪制伏安特性曲線時發現,空間電荷區斜率小于理論計算值1.5 ,即不符合二分之三次方定律。下面就這個問題進行分析和討論。

1、二極管結構及測試系統

1.1、二極管結構

  測試二極管采用的水冷陽極結構,如圖1 所示。外殼為玻璃結構,陽極為無氧銅,可以承受較大的功率, 最大可至200W;發射體為平面,陰極與陽極面組成平板二極管結構。

標準水冷陽極二極管二極管測試原理圖

圖1  標準水冷陽極二極管  圖2  二極管測試原理圖

1.2、測試系統

  測試系統由三部分組成:測試二極管,測試電源,電壓電流及溫度采樣。測試電源分為兩種,一是直流電源,產生直流高壓,支取的電流也是直流。另一種電源為脈沖式,產生脈沖高壓,支取脈沖電流。電流電壓采樣在直流測試時使用一般電表就可以完成。在脈沖測試時采用可以讀數或測量的示波器采集數據,溫度一般采用亮度高溫計測量。圖2 為二極管測試原理圖。

1.3、典型的測試結果

  圖3為實際測試所得的典型的陰極伏安特性曲線,該陰極為覆鋨(Os) 膜的鋁酸鹽陰極,陰極直徑為3mm ,陰極工作溫度(亮度溫度) 為1050 ℃,采用脈沖方式測試,脈沖寬度為5μs ,重復頻率500 Hz 。通過觀察其伏安特性曲線可以發現,其拐點電流密度為29.33 A/cm2 ,可以說其發射能力相當可觀,但是其在空間電荷區的斜率僅為1.34 ,也是說在空間電荷區內,其導流系數一直在變化,即逐漸變小。到底是什么原因造成導流系數一直在變小呢?

典型的二極管伏安特性曲線不同極間距的電場計算模擬

圖3  典型的二極管伏安特性曲線  圖4  不同極間距的電場計算模擬

2、可能的原因分析

2.1、極間距的影響

  首先水冷陽極近距二極管為玻璃結構,裝架過程采用人工控制,其距離和平行與否都是通過人眼觀察,這就造成極間距,及陰陽極的平行度等都存在較大的變數。多數文獻在介紹平板二極管結構時都指出,當陰、陽極間距與陰極直徑之比小于011 時,極間電場分布可以近似為理想的無限大平板二極管。我們目前的實驗陰極直徑為標準的3 mm ,為滿足理想的平板二極管的要求,陰、陽極間距應小于0.3mm ;但在實際工作中,由于在裝配時完全憑經驗來保證陰極熱膨脹后的極間距離,即使水冷陽極的支撐結構件采用了標準尺寸,但極間距離的大小仍是變數。大部分情況下,陰、陽極間距是大于0.3mm的。

  本文通過CAD進行的一系列的電場、電子軌跡模擬計算,計算分為加陰極護環與不加陰極護環兩種,其電位分布及電力線分布如圖4 所示,說明一定范圍下極間距離變化對電場分布的影響不是很大,而且加不加陰極護環在滿足陰極發射性能比對上是基本不受影響的。純粹從極間距上考慮,極間距的不一致并不能影響空間電荷區的斜率,也不能影響拐點電流密度,但是極間距過大,使得必須加更高的電壓才能測試到拐點,使陽極耗散功率過大,使陽極放氣,甚至燒毀陽極。

2.2、極間平行度的影響

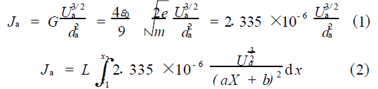
  進行二極管測試裝架,因為應用的平板二極管結構,極間平行度是必須考慮的問題。但是在實際工作中絕對平行是不可能達到的,因此就應考慮不能達到絕對平行,對測試結果的影響。極間不平行,造成極間各點的距離不一致,使得極間電場不一致。根據二分之三定律,陽極上接受到的電流與極間距有關,但是通過疊加計算,即對極間距進行細分,計算每一個極間距上陽極收集到的電流;為了使計算簡單,把極間距分為10 個部分,每部分極間距相等,計算各部分陽極電流,得出陽極總電流。根據計算結果發現:在空間電荷區,任何平行度都不影響測試斜率,即無論是否平行測試斜率都是1.5 ,但是會影響空間電荷區與溫度限制區的過渡,如使過渡區變長。

  式(2) 中, ( a X + b) 表示極間距,是X 的函數; x1 , x2是陽極接受區的寬度;L 是陽極接受區的長度,d x ×L 即收集微區的面積, 面積歸一化處理后, L = 1 。式(2) 變為:

  可以看出,在空間電荷區,斜率依然為3/2 ,與平行度無關。

2.3、熱脹冷縮效應

  在二極管測試過程中,尤其是在連續波測試大電流密度時,電子冷卻效應就不能忽略。電子冷卻效應造成熱脹冷縮結果,在測試過程中,陰極與陽極之間的距離發生變化,造成導流系數變化,從而使空間電荷區的斜率下降。其模擬計算結果見圖5 。但是這個結果可以解釋為什么連續波(直流) 測試時斜率更低,因為在連續波測試時,支取的電流越大,其電子冷卻效應就越明顯,即陰極溫度越低,這就造成極間距變大,從而造成導流系數變化,使得空間電荷區的斜率小于理論值。但這并不能解釋脈沖測試,尤其是小工作比時空間電荷區斜率偏低的原因,因為這時電子冷卻效應基本可以忽略。