真空拾取器拾取動作響應時間與影響因素的研究

2010-03-05 張世偉 東北大學機械工程與自動化學院

  小型真空拾取器被廣泛應用于輕質小型元器件的搬運機構之中。通常要求真空吸取器在執行搬運作業時其拾取動作盡可能迅速,其總響應時間為閥門動作、抽氣降壓和工件運動三部分響應時間之和。本文通過理論推導得到了工件運動響應時間的計算公式。借助fluent 軟件,模擬計算了抽氣管道內的氣體擴散降壓流動過程,并討論了真空管道長度與直徑、儲氣罐容積等因素對抽氣響應時間的影響。計算結論指出了提高真空拾取器響應速度的有效途徑。

  小型真空拾取器在IT 行業中被廣泛應用于輕質小型元器件(如石英晶片、片式電阻電容元件、小型集成塊等) 的搬運機構之中。生產過程通常要求真空拾取器在執行搬運作業時其拾取動作盡可能迅速,以提高生產效率。已有學者研究了采用真空發生器的拾取器系統的吸附響應時間,本文將以采用真空泵的真空拾取器系統為對象,針對拾取動作響應時間及其影響因素,開展理論分析和計算研究。

1、真空拾取器結構與工作原理

  真空拾取器系統由吸盤、抽氣管道、換向閥門、儲氣罐、主真空管路等部分組成,如圖1 所示。

真空拾取器系統結構示意圖

圖1  真空拾取器系統結構示意圖

   1 —工件樣品;2 —真空吸盤;3 —抽氣管道;4 —三通電磁閥;5 —儲氣罐;6 —主管路

  從控制系統發布拾取動作命令開始,到真空吸盤將工件樣品完全吸牢為止,整個拾取過程的系統響應時間t 包括三部分:真空閥門接受命令至完全導通的動作響應時間t1 、真空管道開始抽氣降壓至工件樣品開始移動的抽氣響應時間t2 和工件樣品運動至真空吸盤并吸牢的樣品運動時間t3 。即

t = t1 + t2 + t3    (s) (1)

  其中閥門動作響應時間t1 是由所選擇元件的自身特性所決定的,能夠由生產廠家提供其數據,通常在幾十毫秒之內。而抽氣響應時間t2 和樣品運動時間t3 ,則完全是由真空拾取器系統的結構和工藝參數所決定的,下面分別加以計算。

2、工件樣品運動時間的計算

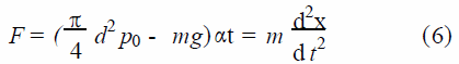
  在忽略工件樣品的不平整度等實際因素的近似下,樣品在吸盤下方的受力為

  式中d —吸盤口的有效內徑(m) ; P0 —環境大氣壓力(105 Pa) ; P —吸盤入口區域的氣體平均壓力(Pa) ; m —工件樣品的質量(kg) ; g —重力加速度(9.8 m·s - 2 ) 。樣品發生運動的初始條件(以下標s 為標記)為

  通過對流動的氣體沿圖1 中P0 點至P 點的流線應用伯努利方程 ,可以算得對應的氣體流量為

  其中ρ—大氣的密度(~1.20kg·m- 3) ;δ—樣品到吸盤的初始距離(m) ;

  本文后面的計算表明,在樣品開始運動之后(取F=0 時為時間原點t = 0) ,吸盤內的氣體平均壓力隨時間近似成線性降低趨勢,即有:

  式中α—壓力遞減系數( s - 1) 。將式(5) 代入式(2) ,于是樣品運動過程中的受力規律及運動方程為

  經運算可以得到樣品由開始運動到被吸盤吸附所需的時間為

  分析式(7)可知,樣品運動時間主要受樣品質量、吸盤內徑、樣品與吸盤間距離、以及抽氣管道的壓力遞減系數的影響。舉例計算,當m = 2 g , d = 3mm ,δ= 2 mm ,α= 346 s - 1 ,則樣品啟動壓力ps = 97.2kPa ,啟動流量qs = 1.28 L ·s - 1 , 運動時間t3 =4.66ms。

3、抽氣響應時間的模擬計算

  真空拾取器的抽氣降壓響應時間t2 完全取決于系統的結構和工藝參數,包括真空吸盤的結構形狀與尺寸、抽氣管道的長度與直徑、閥門的通導能力、儲氣罐容積、以及真空泵通過主管路對儲氣罐的抽速和所能達到的本底真空度。

  選擇采用Fluent 軟件對系統內部的氣體擴散流動過程進行了數值模擬。針對所要模擬的真空拾取器系統,完全按照其真實尺寸建立計算模型。建模時將抽氣管道簡化為長直圓管;真空閥門也簡化為一段直圓管道,其出口設為壓力出口邊界條件,利用UDF 編程將壓力關于時間的變化考慮到計算中;儲氣罐內壓力開始取為本底壓力;在距離真空吸盤足夠遠的大氣環境處,取無限遠恒壓邊界條件。計算時選用耦合隱式非穩態求解器, 湍流模型選擇S2A. 模型。計算時間步長為0.001s ,迭代次數為20 步。

真空拾取器的FLUENT模型 真空拾取器入口壓力與抽氣時間的關系曲線

圖2  真空拾取器的FLUENT模型  圖3  真空拾取器入口壓力與抽氣時間的關系曲線