液體真空蒸發凍結過程的動力學研究

2010-01-12 張世偉 東北大學機械工程與自動化學院

  簡要介紹了液體物料真空蒸發凍結過程中出現的暴沸、過冷、凍結等實驗現象。針對溶液由液相表面蒸發為汽相、由凍干室向冷阱室流動遷移、在冷凝器上凝結的全過程,從質量與能量守恒原理、熱力學原理和氣體動力學原理出發,建立了完整的數學模型,并以純水為例進行了模擬計算。同時利用專門組建的實驗裝置,對純水的真空蒸發凍結過程開展了實驗觀測研究,得到整個過程的質量、溫度、壓力—時間曲線。通過對比理論模擬計算和實驗測試的結果,說明了所建立的動力學模型的正確性。

  在對溶液或漿料類原料進行真空冷凍干燥制備粉體產品的過程中,可以利用真空冷凍干燥機自身具有的真空和低溫環境,使液體物料直接發生真空蒸發凍結,從而節省單獨完成凍結過程所需的設備、時間和能耗。近年來已得到許多研究人員的關注。本文對此過程進行了理論模擬計算和實驗觀測研究。

1、現象與過程描述

  真空蒸發冷凍法的基本原理是基于真空條件下液體能夠迅速蒸發和液體蒸發時帶走相變潛熱而使剩余液體溫度降低,直至其凍結。液體真空蒸發凍結過程是一個傳熱傳質的耦合遷移過程,并且是一個典型的非平衡動態過程。

  液體真空蒸發凍結過程的實驗現象如下: ①將盛裝液體的容器放入冷阱已經被預冷的凍干機真空蒸發室中,啟動真空泵通過冷凝室對真空室抽真空。②當真空室內氣體壓力接近當時液體溫度下的飽和蒸汽壓時(通常< 2000Pa) ,液體內部溶解的氣體開始大量放出并伴隨液體發生沸騰,即出現第一次暴沸現象。通過控制抽氣速率,能夠適當減弱暴沸的程度。③進入液體大量蒸發階段,液體質量迅速下降,冷凝室的冷阱上霜層明顯增長。液體溫度則經歷了由初始溫度下降至冰點和較長時間保持在冰點的二個階段,在后一階段有時還會出現輕微的過冷現象。④凍結階段,有急凍和慢凍二種情況。⑤冰升華階段。如果冷阱的溫度足夠低的話,當液體全部或表面凍結成冰后,會繼續升華,冰的質量和溫度都繼續下降。

2、數學模型

  為定量描述液體蒸發凍結過程的規律,本文利用平衡態熱力學和動力學理論,采用集總參數法,組建了一個完整的系統數學模型。其中包括反映液態及凍結后溶液的質量與溫度變化關系的熱力學模型,分別描述真空蒸發室和冷凝室內部混合氣體壓力與流量變化規律的氣體動力學模型。

2.1、系統模型

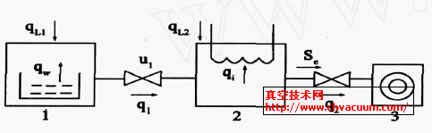
  反映了盛裝液體的容器、真空蒸發室、冷凝室、真空泵之間連接關系的系統模型如圖1 所示。

系統模型

圖1  系統模型圖 1. 蒸發室;2 . 冷凝室; 3. 真空泵

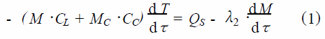
2.2、液體溫度與質量關系的熱力學模型

  從被凍結溶液的溫度變化角度考慮,真空蒸發凍結過程包括液體降溫、液體凍結和固體降溫三個階段。液體降溫階段的溫度與質量關系為

  液體凍結階段的液態與固態的質量關系為

  已凍結液體繼續降溫階段的溫度與質量關系為

  上面三式中的符號如下:λ2 —液體蒸發時吸收的汽化潛熱,J·kg - 1 ; CL —液體的比熱,J ·(kg·K) - 1 ;CC —容器的比熱,J·(kg·K) - 1 ; T —任意時刻液態或固態溶液的溫度,K; M —任意時刻溶液的質量,kg ;
MC —容器的折算質量,kg ; QS —溶液和容器的吸熱速率,J·s - 11 —溶液凍結時放出的熔解潛熱,J·(kg·K) - 1 ; Mi —任意時刻凍結后溶液的質量,kg ;λi —凍結后溶液升華時吸收的升華潛熱,J ·( kg·K) - 1 ;Ci —凍結后溶液的比熱,J·(kg·K) - 1

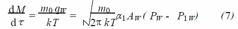
2.3、真空室內的動力學模型

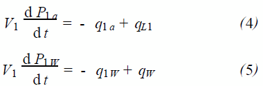
  液體的溫度變化依賴于液體質量的蒸發,而液體蒸發的速率,則取決于真空室內氣體的壓力平衡情況和向冷凝室的流動速率。真空室內的氣體由永久氣體和液體蒸汽組成,二者的壓力控制方程分別為

  由式(4) 和(5) 還可得出混合氣體的總壓力控制方程為

  液體蒸汽的質量蒸發速率dM/ dτ與液體表面的蒸發速率qW 之間的關系為

  真空室內混合氣體向冷凝室流動的總質量遷移速率為

  其中液體蒸汽和永久氣體的各自質量遷移速率分別為

  其中P 1a 、P 1W 和P1 —分別為真空室內的永久氣體壓力、液體蒸汽壓力和總壓力,Pa ; P2 —冷凝室的總壓力,Pa ; q L1 —真空室的漏氣量,Pa·m3·s - 1 ; V1 —真空室的有效體積,m3 ; q 1a 、q 1W 和q1 —分別為真空室流向冷凝室的永久氣體流量、液體蒸汽流量和氣體總流量,Pa·m3·s - 1 ; qW —液體的蒸發率,Pa·m3·s - 1 ;m0 —液體分子質量,kg ; k = 1.381 ×10 - 23 J ·kg - 1 —波爾茲曼常數; AW —液體的蒸發表面積,m2 ; PW —液體蒸氣的飽和蒸汽壓,Pa ; u1 —真空室與冷凝室之間的流導,m3·s - 11 —液體的表面蒸發系數。