高功率脈沖磁控濺射電源的研制

2013-04-24 王洪國 核工業西南物理研究院

  高功率脈沖磁控濺射(HPPMS) 因其高離化率而得到廣泛關注。高壓大電流脈沖電源是實現該技術的重要環節之一。本論文介紹了一種HPPMS 電源, 該電源由充電電源、斬波輸出兩部分組成, 給出了主電路框圖。分析了大電流對斬波開關過電壓的影響, 采用RC 吸收和續流有效地抑制了電壓過沖, 用所研制的電源進行HPPMS 鍍膜試驗, 結果表明電源運行穩定可靠, 制備的薄膜表面清潔、致密, 其平均表面粗糙度很低。可以預見HPPMS 技術將會促進鍍膜技術的發展。

  磁控濺射技術廣泛用于薄膜制備領域, 可以制備工業上所需的超硬薄膜、耐腐蝕、耐磨擦薄膜、超導薄膜、磁性薄膜、光學薄膜以及各種具有特殊性能的膜。但傳統的磁控濺射技術濺射金屬大多以原子態存在, 金屬離化率低, 可控性差, 沉積薄膜的質量和性能較難優化。近年來發展的高功率磁控濺射技術, 它的峰值功率可以比普通磁控濺射高兩個數量級, 金屬離子離化率可達70%以上, 某種程度上, 高功率脈沖磁控濺射(HPPMS) 集中了傳統濺射和電弧的優點, 與現存的提高離化率的手段相比, 不需要新裝置, 只需在原有的系統上增加一臺脈沖電源[1- 2]

  目前, HPPMS 電源的研制尚處于起步階段, 為此作者研制了峰值功率達300 kW 的HPPMS 電源,采用絕緣柵雙極型晶體管(IGBT) 逆變技術、IGBT 斬波技術、具有高峰值功率、高效率、小型化等特點,真空技術網(http://www.hzwlsy.com/)于作者用所研制的電源進行HPPMS 鍍膜試驗, 顯示了良好的特性。

1、電源研制

  HPPMS 電源由充電電源、斬波輸出單元等組成, 具備連續可調的穩壓、過流、過熱、打火保護功能。設計電源為恒壓模式, 脈沖峰值電壓為-500~-1500 V, 電流為10~ 200 A, 脈寬30~ 150 us, 頻率為10~ 400Hz。電源結構如圖圖1 所示。直流電源在脈沖間歇期給電容充電, 在脈沖工作時, 由電容Cs 向等離子體負載放電。

HPPMS 電源示意圖

圖1 HPPMS 電源示意圖

1.1、充電電源

  充電電源為負高壓電源, 采用全橋逆變技術, 大大減小了電源體積、重量, 提高了效率。其典型結構如圖2所示。圖中的整流電路經電容C1 濾波后得到直流電壓, 再由逆變器逆變成高頻交流方波。脈沖電壓逆變器的開關頻率選在20 kHz 以減小磁性元件的體積, 避免噪聲污染等。逆變器輸出經高頻變壓器隔離并變換成適當的交流電壓, 再經過整流和濾波變成所需要的直流電壓。本設計充電電源的輸出功率為10 kW, 輸出- 500~ - 1500 V/ 6 A。關頻率為20 kHz, 最大占空比為0.8。初次級絕緣電壓等級為10 kV。主變壓器變比為1:3。

充電電源典型結構

圖2  充電電源典型結構

1.2、斬波回路

  斬波部分是將直流電壓通過斬波電路變成頻率和脈寬均可調的脈沖。斬波部分結構圖如圖3 所示。斬波電路使用IGBT 作為開關串聯在回路中, 通過信號發生器觸發IGBT 來調節脈寬和頻率。在信號發生器輸出電平為高時, IGBT 導通, 電容C 上的電壓通過開關IGBT、電感L 、電阻R 加在磁控靶上,濺射靶開始工作。主脈沖發生器電平為低時, IGBT關斷, 濺射靶停止工作, 電感儲存的能量通過續流二級管D 釋放。

斬波電路結構圖

圖3 斬波電路結構圖

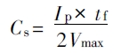
  磁控濺射在實際應用中容易發生打火現象, 電源必須設置短路打火保護裝置。通過傳感器檢測斬波脈沖電流峰值信號, 控制器判斷電流大于保護值,則直接使信號發生器輸出低電平, 關斷IGBT, 待打火消失后再重新工作。同時使用電感、電容限流, 以抑制起弧時的快速增長的大電流對電源的沖擊。并采用RsCs 吸收電路防止過電壓。緩沖電容Cs 的電容取值由下式可得[3]

緩沖電容Cs 的電容

  式中, Ip是集電極電流峰值。Vmax是IGBT 關斷時允許的集電極電壓峰值, 取最大工作工作電壓的1.4倍; tf 集電極峰值電流從最大降到0 的時間。得Cs為0.5 uF。Rs 應使Cs 在最小導通時間ton 內放電至所充電荷的5% , 則有t on(min) = 3RsCs, 則得Rs=13 歐 , 考慮Rs 過大, 吸收效果不好, 最終選取為5歐。另針對電源的特性, 對多臺電容串并聯構成儲能單元的支路安裝了電阻均壓器。

2、電源調試

  用本文研制的脈沖電源在直徑5 cm 的圓形磁控濺射靶上進行了調試。圖4 為在Ar 氣壓在0.5Pa、峰值電壓1000 V、頻率50Hz、脈寬100 us 下磁控放電的電壓和電流波形, 可以看出, 脈沖電流波形中剛開始時產生的呈尖峰狀的一段電流波形為峰值電流, 隨后的電流波形較平緩。剛開始時的峰值電流取決于初始氣壓, 表明氣體離子占有主導地位; 隨后的電流值取決于放電功率和靶材料性質, 表明和自濺射發生了緊密聯系。

氣壓0.5 Pa 峰值電壓1 kV 的電壓流波形

圖4 氣壓0.5 Pa 峰值電壓1 kV 的電壓流波形

  圖5 是0.4 Pa 氣壓、不同峰值電壓下的放電電壓和電流的波形, 電壓分別為700, 800, 1000, 1200,1400 V。結果顯示, 隨電壓的升高, 輸出電流峰值增加, 寬度變寬。這是因為隨電壓的增加, 擊穿點火容易, 離化百分比高, 離子量呈幾何增加, 所以電流增加, 寬度變寬[2] 。圖6 是1000 V 峰值電壓、不同氣壓下的放電電壓和電流的波形。氣壓分別為0.4,0.6, 0.8 Pa。結果顯示, 隨氣壓的升高, 輸出電流峰值呈幾何增加, 寬度變寬。

不同峰值電壓下電壓和電流波形

圖5 不同峰值電壓下電壓和電流波形

峰值電壓1000 V 不同氣壓下的電壓和電流波形

圖6 峰值電壓1000 V 不同氣壓下的電壓和電流波形

  圖7 是HPPMS 放電制備的Ti 膜, 可以看出, 制備的薄膜表面清潔, 致密, 其平均表面粗糙度很低,無陰極弧制備的薄膜中那樣的大顆粒存在。

HPPMS 制備的Ti 膜

圖7 HPPMS 制備的Ti 膜

3、結論

  本文研制了一臺HPPMS 電源, 給出了電源框架圖和主電路拓撲結構圖, 分析了主電路中一些關鍵技術。采用RC 吸收和續流二極管保護IGBT, 具有穩定可靠、快速響應、高峰值功率、重復工作頻率的特點。鍍膜試驗結果表明, 該電源工作穩定可靠,制備的薄膜表面整潔、光滑, 大顆粒很少。可以預見HPPMS 技術將會促進鍍膜技術的發展。

參考文獻

  [1] Ulf Helmersson, Martina Lattemann, Johan Bohlmark, et al. Thin Solid Films[J] , 2006, 513: 1-24

  [2] 吳忠振, 田修波, 王澤明, 等. 真空科學與技術學報[J] , 2011, 31(4) : 459- 464

  [3] 梁偉恩, 付翔, 楊軍. 電子元器件應用[J] , 2010, 12 (6) : 40- 42

  [4] Andr Andersa, Joakim Andersson, Arutiun Ehiasarian. Appl Phys[J] , 2007, 102: 113303

  [5] 田修波, 吳忠振, 石經緯, 等. 真空[J] , 2010, 47(3) : 44-47