真空蒸餾海水淡化的熱力分析

2009-08-07 錢強 南京工業大學機械與動力工程學院

  隨著船舶業的發展,船舶對淡水的需求就越來越大,從陸地上攜帶海水和靠海島之類的補充海水是不現實的,所以迫切需要更好的技術來淡化海水。海水淡化常用的方法[1]有蒸餾法和膜分離法,還有冷凍法、水合物法、溶劑萃取法、離子交換法等。蒸餾法又分多級閃蒸(MSF)、多效蒸發(ME)、壓汽蒸餾(VC)和太陽能蒸餾等。蒸餾式海水淡化技術對熱源的要求比較低,在船舶上得到廣泛的應用,但是由于系統本身較復雜,因此研究真空蒸餾式海水淡化的性能,是船舶海水淡化研究的一個重要方面。很多學者對其它的海水淡化過程都進行了熱力計算[2~5],本文主要對真空蒸餾處理技術的原理和性能進行分析,并對真空蒸餾處理裝置進行了模擬計算。

1、真空蒸餾式海水淡化技術的原理

  真空蒸餾式海水淡化裝置一般采用真空蒸餾的原理,即通過噴射泵以維持裝置中90%~94%的真空度,此時對應的海水蒸發的沸點[6]僅46℃~36℃,以利用低溫廢熱來進行海水淡化。該裝置的熱源為船舶主機的缸套的冷卻水,屬于廢熱回收利用。一般主機功率為6000 kW 左右的柴油機推動的船舶,每天就可以生產淡水15~18 m3。效率很高。船舶廢熱如:廢熱鍋爐產生的多余的蒸汽,副機缸套水等都有大量的廢熱,所以船舶廢熱具有很廣闊的開發前景。真空蒸餾處理淡化海水不越要附加其它熱源,因此VDT 技術是船舶淡化海水的重要手段,具有節能,效率高等優點。

2、熱力分析及模型的建立及模擬

  真空蒸餾處理淡化海水的基本流程如圖1所示。

真空蒸餾處理淡化海水流程圖

  海水經過預熱器,在其中吸收淡水和噴射泵工作蒸汽所放出的熱量,溫度升高,供入海水淡化裝置的冷凝器中作為冷凝海水蒸發所得到的蒸汽(二次蒸汽),溫度得到進一步升高,一部分供入海水淡化裝置的蒸發器中作為供水,另外一部分排出船艙外;供入蒸發器中的海水在蒸發器中受工作蒸汽(一次蒸汽)的加熱,溫度升高,達到飽和溫度,開始蒸發,所得到蒸汽在裝置中上升,經過分離器分離所帶出的淡水,經過預熱器將熱量傳給海水后,進入淡水箱中被儲存;海水淡化置內未蒸發的海水濃度升高成為濃海水,排出船艙外。

2.1、模型的建立

  海水淡化過程其實就是一個傳熱傳質過程,根據質量守恒定律和能量守恒定律原理,建立如下的數學模型。

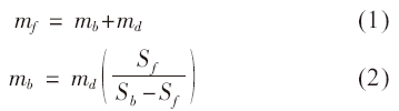
  質量平衡方程為:

  在這個裝置中,能量平衡方程分為蒸發器能量平衡方程,冷凝器能量平衡方程和預熱器能量平衡方程。

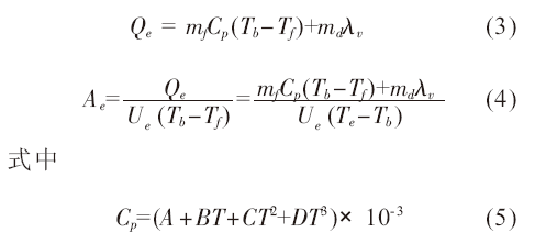
  蒸發器能量平衡方程

  式中:S 為海水中的含鹽量(g/kg);Sb、Sf 為濃海水和海水濃度(1×10- 6);Qe 為蒸發器中換熱量(kJ);Ae 為蒸發器換熱面積(m2);Ue 為蒸發器換熱系數(kJ/(m2·℃));mf,mb,md 分別為海水上水量、濃鹽水排放量和產水量(kg/s)。

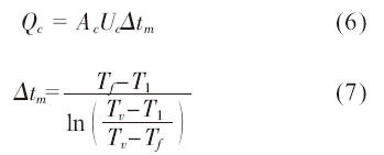
  適用范圍:20℃<T<180℃;20000×10- 6<Sb<160000×10- 6冷凝器能量平衡方程為: