真空觸發開關的起弧穩定性實驗結果分析

2009-07-04 周正陽 大連理工大學電氣工程與應用電子技術系

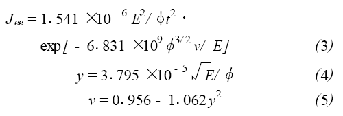
         對于場擊穿觸發方式,放電起始于真空中的場電子發射,由弗雷-諾特海姆公式在電場E 下陰極發射的電子電流密度Jee為

        式中φ 為表面逸出功, E 為電場強度, 系數t與y 相關,一般可看作常數或查表。已知鎢的擊穿場強大約為6 ×109V/ m ,逸出功4.5eV。計算(4) (5)得y = 0.648 , v = 0.510 , 又查表得t = 1.063, 代入(3) 式,可得Jee = 5.375 ×1010A·m- 2 。

        Jee形成的電子電流撞擊陽極,使之產生材料蒸發和電離,離子在電場作用下向陰極表面運動并產生離子鞘層,加速電子的發射,當該鞘層的作用或電子電流密度高到足以在陰極表面產生陰極斑點時,就具備了自持放電的條件。在均勻電場中靠場發射達到擊穿的臨界電子電流密度比較困難, 一般設計觸發針對相連電極間有場畸變以增強局部場強。初始等離子體形成后, 能否引發主間隙的導通還有一定的條件, 視其進一步的發展而定。隨著初始等離子體向主間隙的擴散, 它們會影響主間隙的電場分布,如初始等離子體有足夠高的密度,可直接擊穿主間隙。一般觸發系統提供的能量不足以維持主間隙的擊穿狀態(如圖6) , 主間隙的自持放電必須自主間隙陰極表面產生的陰極斑點不斷提供帶電粒子和金屬蒸氣來維持(如圖9) 。

        當初始等離子體擴散到主間隙陰極時, 就在近陰極區形成離子鞘層。鞘層電壓Us 幾乎等于主間隙電壓,流過鞘層的電流Is 由電子電流Ie 和離子電流Ii 組成。

        其中f 為離子電流比例,一般為015~1 ,與觸發材料相關; It 為觸發電流; S 為鞘層下的電極面積; e 、ne 、ve 和Te 分別為電子的電量、密度、熱速度和溫度; k是玻爾茲曼常數。離子電流由觸發電流決定的, 而電子電流服從玻爾茲曼分布, 并隨鞘層電壓Us 的增加按指數下降。鞘層電流Is 可通過朗繆爾(Lang2muir) 公式與鞘層電場Es 關聯;當Es 達到一臨界值Esc時,就會擊穿并產生陰極斑點,TVS 主間隙開始導通。Esc取決于主間隙陰極材料及其表面狀態。設鞘層電流以離子電流為主, 則引發主間隙擊穿的臨界觸發電流Itc為

        其中d 為觸發電極到主間隙陰極的最小距離; M 為觸發電極材料的分子重量。Itc的詳細計算要考慮主間隙陰極鞘層的動態發展過程。本文中TVS 接通的是一低頻LC 振蕩電路, 電容器上的充電電壓為U0 ,準中性的初始等離子體的發展各向同性, 則以下關系成立

        其中z 為平均離子電流; ni 為離子密度; vi 為離子平均漂移速度。由此可導出鞘層的動態電壓和電流

        L 為振蕩電路電感。假設ve/ vi ≈100 , Te ≈1.3 ×104k , z≈1 , Us (t) 僅為U0 與It 的函數。

        當Us > 40V 時, f d It/ d t n U0/ L , 計算式(11) 得Is ( t) = 0.919f It ( t ) , 即鞘層中以觸發電流為主。當d It/ d t = 0 時, It 達到最大Itm , 鞘層離子密度最高,U0 = Us ,主間隙擊穿概率最高。反之, 當Us < 40V時, f d It/ d t m U0/ L ,鞘層電流中電子電流分量相當大,其動態特性為主間隙外電路所限制,主間隙不滿足擊穿條件。

        由上述分析可知,陰極斑點是維持電弧的關鍵,而產生陰極斑點取決于離子鞘層, 足夠的鞘層電場或鞘層電壓是產生陰極斑點的保證。起弧最初的鞘層是靠初始等離子體中正離子返回陰極表面形成的,而初始等離子體取決于觸發過程。所以為保證觸發的可靠性,既要有足夠高的脈沖電場強度,又要有充足的觸發電流。

結論

        (1) 自建了一套場擊穿型TVS 的觸發和實驗系統,從電氣特性和圖像特性兩個方面記錄其起弧過程。實驗結果表明續流電容充電150V 能夠保障TVS 的穩定導通,觸發系統的穩定延時約40μs ,起弧過程持續了297μs。

        (2) 初始等離子體的不同發展決定著TVS 的開通,記錄并分析了TVS 從不穩定起弧到穩定起弧的發展變化過程。

        (3) 分析了場擊穿觸發的原理,只有在足夠高的脈沖電場強度和充足的觸發電流下,才能產生充足的初始等離子體,進而得到滿意的觸發概率。分析與實驗過程相一致。

相關文章閱讀:

真空觸發開關(TVS)的基本結構

真空觸發開關(TVS)的觸發和實驗系統

真空觸發開關的起弧穩定性實驗

真空觸發開關的起弧穩定性實驗結果分析