真空絕熱板(VIP)熱橋的數學模型及分析

2013-04-05 闞安康 上海海事大學商船學院

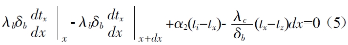
  取真空絕熱板(Vacuum Insulation Panel, VIP)的長度為lp (m),寬度為wp (m),厚度為δp (m),隔氣結構的厚度δb (m),流經真空絕熱板(VIP)中心區域的熱流量為φp,cop (W),流經真空絕熱板(VIP)總熱流量為φp,total,板冷熱端空氣溫度分別為te,ti ( ℃),其分析模型如圖2 所示。

VIP 熱橋效應有限元分析物理模型

圖2 VIP 熱橋效應有限元分析物理模型

  取隔氣結構一段上的微元為研究對象,假設長度方向為X 方向,寬度方向為Y 方向,微元在X 方向的熱量傳遞情況如圖2 所示。圖中,φ1 為沿X 方向通過隔氣結構傳入微元的熱量;φ2 為沿該方向通過隔氣結構傳出微元的熱量;φ3 為通過隔氣結構表面對流換熱流入微元的熱量;φ4為隔氣結構傳入芯層材料的熱量。微元處于穩態時,應有:

φ1+φ2+φ3+φ4 = 0 (4)

  采用微元的方式可將方程(4)改寫為:

  式中:tx 為VIP 隔氣結構在X 方向上的溫度,tz 為

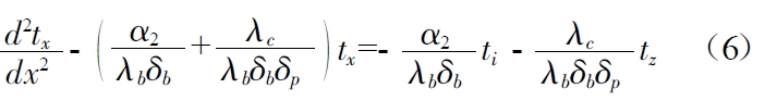
  其在z 方向上的溫度;λb 為隔氣結構的導熱系數(在X 及Y 方向上是一致的),W/ (m·K);λc 為芯層材料的導熱系數,W/(m·K)。假定隔氣結構質地是均勻且連續的,δb 和其導熱系數λb 是恒定值,方程(5)兩端同時除以dx,取dx→0,易得:

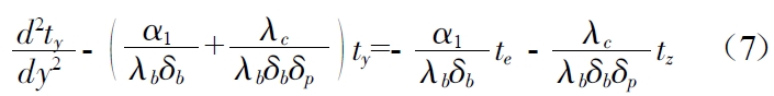
  同樣,在y 方向及真空絕熱板(VIP)另外一側表面,可以得到方程式(7)

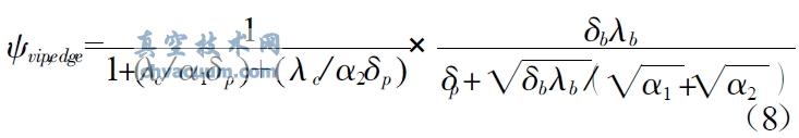
  方程(6)和方程(7)構成了方程組。結合ψvip,edge 及邊界條件,可以求得:

  由方程式(8)可以看出,影響真空絕熱板(VIP)熱橋效應的主要參數是VIP 的厚度、芯材的導熱系數、隔氣結構的厚度及其導熱系數。

全文閱讀:

  真空絕熱板熱橋效應數值分析及優化