真空絕熱板(Vacuum Insulation Panel, VIP)的熱橋形成機理

2013-04-05 闞安康 上海海事大學商船學院

  真空絕熱板(Vacuum Insulation Panel, VIP)是一種高效絕熱材料,它是基于真空隔熱機理,由芯層納米級微孔介質材料和低氣體滲透率的隔氣結構真空防護膜組成的熱屏障。,隔氣結構一般由金屬或者含有金屬層的多層聚酯基薄膜組成。隔氣結構將新層材料全面的包裹后抽真空封裝,則易于在四周邊緣處產生熱橋效應,即形成熱橋。本文就重點講述了真空絕熱板(Vacuum Insulation Panel, VIP)的熱橋形成機理。

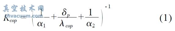
  一般采用傳熱系數來表述絕熱材料的絕熱性能(包含環境因素),對于質地均勻的無限大平板或板狀絕熱材料,其中心傳熱系數(W /(m2·K))定義如下:

  式中:δp 表示平板厚度,m; λcop 表示平板中心導熱系數,W/ (m·K);α1,α2 分別為平板冷熱側表面的換熱系數,W/(m2·K)。

  因常規絕熱材料質地均勻,其中心熱阻與其整體熱阻是一致的,不會因邊緣與中心不連續而產生熱橋效應。而真空絕熱板( VIP) 隔氣結構與芯層材料的導熱系數并不一致的,其邊緣區域與中心區域隔氣結構和芯層材料的包裹形式會有所不同,一部分熱量會經過邊緣區域經隔氣結構直接由熱端流向冷端,形成熱橋,從而導致真空絕熱板( VIP) 中心熱阻值與整體熱阻值并不一致,如圖1 所示。

普通均勻絕緣材料與真空絕熱板熱流對比圖

圖1 普通均勻絕緣材料與真空絕熱板熱流對比圖

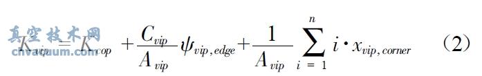
  對于真空絕熱板( VIP) ,可以采用方程式(2)來描述其整體傳熱系數Kvip。

  式中:Cvip 為真空絕熱板( VIP) 一側面的周長,m;Avip 為真空絕熱板( VIP)  的一側面積,m2;ψvip,edge 為邊緣線性傳熱率,W/ (m·K);n為角的個數;xvip,corner 為角的傳熱系數,W/K。邊緣線性傳熱率與角的傳熱率的取值視工況而定。大多數情況下,角的熱橋效應比邊緣的熱橋效應小的多,計算時甚至可以忽略,故而方程式(2)中右邊第三項可以忽略不計,可將其化簡為:

  真空絕熱板( VIP) 的邊緣線性傳熱率是表征隔氣結構熱橋相應的重要參數,可以采用平板熱保護法或數值分析的方式加以求取。本文采用數值分析的方式對邊緣線性傳熱率進行闡述和求解。

全文閱讀:

  真空絕熱板熱橋效應數值分析及優化