液態金屬在非均勻多孔介質表面的潤濕行為研究

2015-01-09 楊軍 蘭州空間技術物理研究所

  基于Wenzel 模型和Cassie 模型,研究了金屬液滴在區域非均勻多孔介質表面的潤濕行為。結果表明,大孔、小Young氏接觸角區域對液滴更易表現高粘附性;而在小孔、大Young氏接觸角區域,由于低粘附性,液滴會向大孔區域表現出爬移行為。提出借助非均勻區域周期性組合的方法來防止液滴飛濺的“自束液”防溢設計思路,為在微重力環境下,液態金屬熱管、離子電推進器及原子鐘等航天星載產品在振動條件下能正常工作提供潛在應用的可能性。

  引言

  對于熱管、電推進器及原子鐘,當其中的工作質為液態貴金屬(如鈉、鉀、銣、銫、鎵等)時,在微重力環境下對其的儲存技術是至關重要的。這不僅關系到產品的工作壽命,而且影響著其表現性能。對星載銫鐘而言,其銫爐中液態銫的防溢設計是決定星載銫鐘能否正常工作的先決條件,也是地面銫鐘與空間銫鐘在物理設計上主要的不同之處。在星載原子鐘平臺中采用銫原子鐘能夠有效提高全球衛星導航系統長期自主運行能力,這也是美國GPS和俄羅斯GLONASS采用星載銫鐘并不斷提高其指標的原因。

  目前,微重力環境下液態金屬的防溢設計主要有兩種技術途徑:一是優化其儲箱的宏觀結構設計;二是在儲箱中引入微觀多孔介質材料。其中,被引入的多孔介質可扮演兩種角色,一種是主動束縛型,即液態金屬完全被填充到多孔介質當中,形成含液多孔介質;另一種是被動束縛型,即多孔介質被放置在金屬氣體的出口端,形成含氣多孔介質。一般采用多元組合、多級聯合的防溢設計策略能夠更有效的阻止液態金屬在空間振動環境下形成孤立液滴,甚至洪流等現象的出現,可避免造成元器件的失效。不僅起到粘附防溢的作用,而且具有穩流,可循環功能,極大地提高了元器件的可靠性及在軌運行壽命。

  考慮到金屬液滴附著在多孔介質表面時的潤濕行為對防溢設計的重要性,通過將實際問題模型化,基于經典潤濕模型和毛細粘附理論,研究了三種金屬液滴在多孔介質表面的潤濕行為,進而提出了一種防止液滴飛濺的“自束液”防溢設計策略。

1、物理模型

  在振動條件下,處于失重狀態下的液態金屬會沿著多孔介質通道爬移到浸潤表面形成粘著液滴。若振動達到某一量級,表面上的液滴甚至會濺射成為液體團塊而四處漂浮。對于銫原子鐘,當其聚集在準直縫上時會阻塞銫原子束的形成,進而彌散到銫束管內,影響銫原子鐘的正常運行。這些漂浮的銫原子打在探測器上形成本底噪聲,降低信噪比和穩定度。若銫原子沉積在電極上,降低了電極間的絕緣性能,造成高壓短路,使銫原子鐘無法工作。對于鉀型熱管,一旦有大量液體溢出循環通道,會造成因熱毛細抽力不足而斷流的現象,使其不能正常工作。在鎵離子等的電推進器中,多孔介質吸液芯一旦不能提供所需的毛細抽壓,那么液態鎵就無法被送到強電場“尖端”而被高能離化形成離子流,形成反向推力。在這些器件中,液體防溢技術的關鍵在于首先研究清楚多孔介質特性(如材料種類、形貌結構等)對其表面金屬液滴潤濕行為的影響。

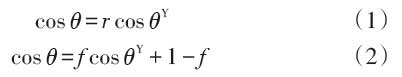
  基于上述考慮,通過研究考察銫液滴的潤濕行為,初步確立在束液設計中多孔介質材料所要具備的物理、化學特性。如圖1所示,建立基本物理模型,當無柄液滴與多孔介質表面形成只有液-固界面的完全潤濕態時,則該潤濕狀態可用Wenzel 模型[5]和Cassie模型[5]來描述,且兩模型控制方程分別為:

液態金屬在非均勻多孔介質表面的潤濕行為研究

  式中:θ為表觀接觸角;θY為Young氏接觸角;r 為多孔介質表面粗糙因子;f 為多孔介質材料表觀界面組分。

  為進一步簡化模型,首先考慮液滴在均勻區域的潤濕行為,假設由同種材質構成的多孔介質表面為孔徑大小一致且呈周期分布的微構型表面。其中,孔徑為d,孔間距為s,膜厚為h,表面粗糙因子r和表面組分f 分別可表示為:

液滴在多孔介質表面的潤濕模型

圖1 液滴在多孔介質表面的潤濕模型

  由此可見,在束液設計中,對于多孔介質的選擇,不僅需要考慮材料的Young氏接觸角,更重要地是對多孔介質材料結構參數的選擇。實際孔徑尺度在微米量級范圍內,而孔間距遠大于孔徑。

3、結論

  基于經典潤濕模型,主要研究了三種金屬液滴在區域非均勻多孔介質表面的自潤濕狀況。研究發現,當液滴處在大孔、小Young氏接觸角表面時,材料表面對液滴更易表現高粘附特性;相反當液滴處在小孔、大Young 氏接觸角區域時,由于低粘附性,液滴會向高粘附區域表現出爬移行為。多孔介質所具有的可控性潤濕特性,能夠有效的實現在空間環境下束縛液態金屬的目標;谏鲜鎏匦裕岢鲆环N借助非均勻區域周期性組合的方法來防止液滴飛濺的“自束液”防溢設計策略,為在微重力環境下,液態金屬熱管、離子電推進及原子鐘等航天產品在振動條件下能正常工作提供潛在應用的可能性。