V波段微帶線行波管慢波結構的設計

2014-09-15 廖 雷 電子科技大學微波電真空器件國家級重點實驗室

  提出了一種新型的微帶線慢波結構。與傳統的N型微帶線慢波結構相比,新型結構具有相速值較小、工作電壓低、功率大、耦合阻抗高等特點。利用HFSS和CST分別對此結構在V波段進行高頻特性、傳輸特性和注-波互作用仿真,得出在60GHz頻點耦合阻抗大于20Ω,在55~63GHz頻段內VSWR<1.5;當輸入功率為100mW 時,并且帶狀電子注的電流和電壓分別工作在100mA和5kV的條件下,該行波管慢波結構的最大輸出功率為115W,平均互作用效率為14.6%,瞬時3dB帶寬為5GHz(56~61GHz)。

  現代軍事應用和國民經濟眾多領域,如相控陣雷達、電子對抗、微波中繼通信系統等迫切需求結構和加工工藝簡單、成本低、體積小、重量輕的小型化行波管。而且微波管所用的慢波結構的尺寸變得越來越小,現在的加工工藝對傳統的螺旋線慢波結構的加工已經不能滿足要求,微帶線慢波結構的加工工藝簡單、成本低、能夠規模生產,具有很大的應用潛力,早期美國A.W.Scott研制出了以微帶曲折線作為慢波結構的印制行波管。這種印制行波管用帶狀電子束,比起傳統行波管所使用的電子通道的尺寸要小,其微帶慢波結構的加工工藝可以采用成熟的二維微機電系統(MEMS)技術,所以這種印制行波管是將行波管小型化的主要研究方向之一。目前國內外對印制行波管的慢波結構的研究主要集中在微帶曲折慢波結構,中電集團第十二研究所對傳統的微帶型曲折線慢波結構進行了詳細的理論分析和仿真計算,電子科技大學對V型曲折線進行過深入的研究。為了開發出更高頻段和效率的印制行波管,縮小行波管的尺寸,我們提出了一種新型微帶線慢波結構。

  本文利用HFSS對相同尺寸下的傳統微帶慢波結構和新型結構進行了高頻特性的模擬仿真,研究了此新型微帶慢波結構的傳輸特性。最后利用CST的粒子工作室(PARTICLE STUDTO)對此慢波結構的注-波互作用進行模擬計算。

1、新型微帶慢波結構的理論研究

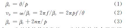
  行波管作為放大信號的器件,它的慢波系統必須滿足兩個條件,一個是行波速度與電子束速度基本相同,用色散曲線表征,實驗中通過設置周期性邊界條件,掃描相移的角度完成。利用HFSS的本征求解器求解,指定一個周期的相移為θ,求解出模型的諧振頻率f ,就有:

V波段微帶線行波管慢波結構的設計

  式中β0為基波的傳播常數,p 為結構的單個周期橫向長度,βn為第n 次空間諧波的傳遞常數,改變相移θ數值,就可以得出相對應的vp-f 曲線。另一個是高頻場在縱向分量上與電子束發生互作用,用耦合阻抗表征。耦合阻抗定義為:

V波段微帶線行波管慢波結構的設計

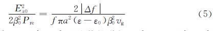
  式中E2 zm為縱向場的幅值,P 是慢波結構上的功率流。在實驗中可以采用在模型當中加入介質棒,用介質微擾法測量模型的耦合阻抗。通常介質棒加載到微帶表面上方,用諧振法求出前后的諧振頻率。對式(5)的求解,通過提取微帶線慢波結構中的縱向電場幅值和功率流,從而得出耦合阻抗,在實際工程中這種方法也有廣泛的應用。對HFSS進行宏編程,直接將得到的數據轉換成曲線,這種方法減少了介質棒的大小而引入的人為誤差,從而使計算結果更接近于模型物理本質。

V波段微帶線行波管慢波結構的設計

  式中,f 為加入介質棒前的諧振頻率,Δf 為加入介質棒后的諧振頻率,ε,ε0為擾動介質棒和真空中的介電常數,a為介質棒的半徑,vg為結構的群速。

2、注-波互作用的模擬結果

V波段微帶線行波管慢波結構的設計

圖7 輸入和輸出信號

V波段微帶線行波管慢波結構的設計

圖8 輸出信號頻譜圖

V波段微帶線行波管慢波結構的設計

圖9 輸出信號幅頻特性圖

  基于以上優化過的尺寸,利用CST的粒子工作室對此慢波結構在V頻段的注-波互作用進行模擬計算。將單個微帶線周期用190個相連,輸入輸出用同軸線連接。介質基底板采用介電常數較低的氮化硼,介電常數為4,取一段矩形金屬塊模擬帶狀電子注的發射槍,取電流為100mA,電壓為5kV,輸入的激勵信號功率為100mW,聚焦系統采用的是1T的均勻磁場。圖7給出了在60GHz頻點的輸入和輸出信號圖,從圖中可以看出,輸出信號被放大了數十倍,輸出信號在輸入信號發出后1.25ns時達到穩定。將輸出信號進行傅里葉變換,得出輸出信號的頻譜圖,如圖8所示,可以看到從0~120GHz內的輸出信號頻譜都相當純凈,幾乎沒有諧波。圖9給出了此慢波結構在55~63GHz的頻帶內的輸出信號幅頻特性圖,帶狀電子束和高頻電磁場的注-波互作用在60GHz時,達到了最大輸出功率115W,瞬時3dB 帶寬為5 GHz(56~61GHz),相對應的平均電子注效率為14.6%。

3、結束語

  本文分析了一種新型微帶曲折線慢波結構,通過與傳統的微帶慢波結構的色散特性和耦合阻抗進行比較,得出新型結構具有相速值較小,工作電壓低,低頻段耦合阻抗高等特點。研究了新型微帶線慢波結構的傳輸特性,得出該結構具有良好的駐波比。通過注-波互作用的模擬計算,得出該結構的工作電壓僅為5kV,大大小于傳統的行波管慢波結構的工作電壓,因此這一改進降低了實際應用中電子槍的設計。