S波段5.5MW高功率脈沖磁控管

2014-09-15 陳 羽 北京真空電子技術研究所

  本文介紹了一只S波段5.5MW 高功率脈沖磁控管的研制,該磁控管主要用于電子直線加速器的高功率微波源。文中闡述了研制過程中一些主要技術問題解決方案、部分模擬計算和制管測試結果。該管測試性能與e2v同類型管對比,各項參數基本一致,可以實現無縫替代與工業化量產。

  國內外電子直線加速器廣泛采用高功率磁控管作為微波源,中能及中能以上加速器微波源以e2v公司M5028、MG6028磁控管和速調管為主流。面向直線加速器應用的高功率磁控管突出特點是陰極發射電流密度大、脈沖寬度寬、效率較高,顛覆了以往中小功率磁控管的很多技術理念,是對國家基礎工業水平和基礎工藝技術水平的嚴峻挑戰。

  M5028、MG6028磁控管具有高功率、低電壓、大電流、高效率、寬脈沖、精密機械與快速調諧等特點,具有相當卓越的射頻性能,可以說是代表高功率磁控管設計及制造方面的最高水平。其主要用戶為瑞典ELEKTA公司的Precise和Synergy加速器,每年需求管量在1000只左右,全部為e2v公司所壟斷,全球目前尚無其他廠商研制成功。因此對該管的研制,不僅將帶來巨大的經濟效益,而且對打破國外廠商的壟斷具有重要意義。

1、研制方案與技術難點

  E2V公司M5028與MG6028S波段5.5MW高功率磁控管技術指標如表1,均是高功率普通磁控管,采用玻璃金屬結構、玻璃輸出窗與玻璃陰極腿、氧化物陰極。如果采用與E2V公司完全一樣的結構與工藝方式,在基礎材料與工藝實現方面將受到很大的限制,影響最終的電氣參數。因此根據磁控管性能特點,結合國內原材料及工藝實現水平,依托北京真空電子技術研究所(BVERI)多年來軍用微波管研制的技術優勢,針對一些技術上的難點重點,最終采用鋇鎢陰極和全金屬陶瓷結構設計,獲得成功。

表1 5.5MW 高功率脈沖磁控管主要性能指標

5.5MW 高功率脈沖磁控管主要性能指標

  1.1、頻率的調整與控制

  該磁控管為長陽極結構,且沒有隔模帶,因此陽塊在初步裝配成形后頻率與腔體耦合情況均已固定,無法像其他磁控管一樣通過調節隔模帶對頻率進行微調,給磁控管頻率控制帶來困難。并且為了配合加速管的工作頻率,該管的工作帶寬又非常窄,如果裝配后發現頻率不滿足要求,想要進行調整,無從下手,這就對零件加工精度與裝配工藝提出了極高的要求。

  陽極結構如圖1所示為扇形諧振腔結構,當互作用空間的導納與對應諧振腔的導納之和為零時,整個系統處于諧振狀態。若考慮端部空間對磁控管的影響,整個系統的諧振頻率為:

5.5MW 高功率脈沖磁控管主要性能指標

S波段5.5MW高功率脈沖磁控管

圖1 磁控管陽極示意圖 圖2 π模電場分布圖

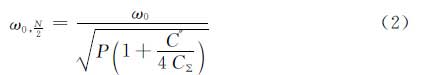
  n=0,1,2,…,N/2,其中,n=N/2時對應π模。考慮端部空間后π模的諧振頻率為:

5.5MW 高功率脈沖磁控管主要性能指標

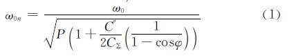
  式中ω0是考慮了端部空間電容的單腔固有頻率;CΣ

  為單腔電容和邊緣電容的總和;C″ 為葉片對陰極的電容和葉片對頂蓋的電容之和。系數P 是考慮了端部空間諧振腔的靜電感應與沒有考端部空間諧振腔的靜電感應的比值。

  由式(1)、式(2)算出管子的諧振頻率,初步計算出陽極諧振腔的大概尺寸。采用微波工作室進行本征模仿真驗證,π模電場分布如圖2所示。

  再將仿真出的尺寸代回公式中驗算,不斷進行修正,最終確定了諧振腔的最佳尺寸。

  在工藝實現上,依靠提高葉片模具的分角精度和嚴格控制零件的公差尺寸,并且設計出專門模具(圖3)來實現陽塊成形后頻率的最終微調,實現了磁控管頻率的微調與控制。

S波段5.5MW高功率脈沖磁控管

圖3 頻率校準模具

  1.2、輸出部件方案

  E2V所有磁控管基本上采用玻璃輸出窗,但由于國內在輸能玻璃的制作、低損耗玻璃材料與封接工藝等方面跟國外相比均有相當大的差距,之前其他管型采用國內研制的玻璃窗在輸出平均功率達到某一量級后,微波損耗極大,發熱嚴重,不能滿足要求,需選用其他介質,因此,需要對輸出部件進行重新設計。最初采用的是金屬陶瓷輸出窗結構如圖4,為了實現大功率微波輸出,該磁控管輸出部件是從相間葉片上依靠6個銅柱耦合出相位相同的能量,通過內外導體、窗片,圓波導,方圓轉換器到矩形波導輸出能量。由于取能方式比較特殊,在微波工作室中其端口面無法選取,故對于該種結構的磁控管,我們不能像同軸輸出或是盒形窗那樣簡單地計算窗部件的傳輸特性,而是需要將諧振腔與能量輸出鏈看做一個整體來考慮其傳輸情況。模型與駐波仿真結果如圖5、圖6所示。

  通過不斷調整內、外導體與窗片的各種參數,確定了輸出部件的最佳幾何尺寸。在隨后冷測和低功率熱測過程中均得到了較好的結果。但在長時間高功率熱測老煉時,多次出現了因功率過高,陶瓷窗片熱累計導致窗片炸裂的現象,使研制一度陷入困境。經過大量調研與分析,在保證射頻性能和機械強度的前提下,針對輸出窗材料進行了進一步的優化與改進,最終使得該管可以穩定可靠地工作在滿功率狀態。

  此外還設計了金屬陶瓷陰極腿支撐結構以代替E2V原玻璃腿結構,增加了結構強度,提高了可靠性。

S波段5.5MW高功率脈沖磁控管

圖4 輸出部件 圖5整管冷測模型 圖6 S11仿真結果

  1.3、燈絲陰極組件的實現

  該磁控管為間熱式陰極結構,如圖7所示,其燈絲與陰極底金屬之間的距離非常近,需要對光絲進行絕緣處理,但在粗絲徑燈絲上電泳Al2O3層的工藝技術尚不穩定,e2v公司也曾宣稱其燈絲與陰極工藝為該管最核心工藝。在制管初期,由于Al2O3層電泳不牢,燈絲與陰極底金屬相接觸而造成短路,其具體表現為通電后燈絲發熱量大,其表面電泳的Al2O3層與底絲因膨脹系數不同而發生形變、分離,最終Al2O3層龜裂而剝落,有時在排氣臺上進行正常的陰極分解老煉都會出現燈絲陰極短路現象,一度使得該管研制陷入困境。依靠我所陰極研究室不斷進行工藝改進,模擬燈絲工作環境,加電近百小時,所加燈絲電流超過陰極激活所需數值,考察Al2O3層在極端使用環境下的牢固度,進行了大量的壽命與破壞試驗。最終解決了目前國內一直困擾的粗絲徑燈絲電泳Al2O3層不牢固的難題,取得了工藝技術突破,達到了國際領先水平。

  M5028、MG6028均采用鎳海綿氧化物陰極。但對于長結構粗直徑的陰極尺寸要求,在保證陰極正常工作所需發射能力的前提下,氧化物陰極的制作存在較大難度,因此采用鋇鎢陰極進行試驗。針對鋇鎢陰極二次電子發射能力與氧化物陰極相差較大的事實,從改進發射體與增大發射面等方面入手,并且在提高陰極發射能力與蒸散過大的矛盾中尋找平衡點。經過不斷努力與探索,最終解決了長鋇鎢陰極的研制和加工等多方面的問題,實現了陰極發射脈沖電流268A,發射電流密度7.3A/cm2的穩定發射,磁控管脈沖功率達到5.5MW,也使得鋇鎢陰極取代氧化物陰極方案得以順利實現,填補了國內空白。在使用壽命與陰極耐打火特性等方面更是大大超過了氧化物陰極,使整管可靠性得到極大提高。

S波段5.5MW高功率脈沖磁控管

圖7 磁控管燈絲陰極組件

2、制管結果

  BVERI自2009年開始此管的研制,于2012年研制出電接口、機械接口、射頻性能與M5028、MG6028完全一致的高功率脈沖磁控管(圖8、圖9)。在加電測試中,該管工作狀態穩定,冷測波形、輸出波形、頻譜均表現良好(圖10-圖12)。

S波段5.5MW高功率脈沖磁控管

圖8 E2V M5028磁控管 圖9 BVERI S波段5.5MW 磁控管

S波段5.5MW高功率脈沖磁控管

圖10 磁控管冷測波形 圖11 磁控管輸出波形 圖12 磁控管頻譜

3、結束語

  本文介紹了S波段5.5MW 高功率脈沖磁控管的研制過程及取得的成果,測試性能與e2v同類型管對比,其各項參數基本一致,可以實現無縫替代與工業化量產。在工程應用中,本管作為電子直線加速器的高功率微波源具有廣闊的市場前景。