不同入射角度鋁的較高能二次電子發射系數表達式

2014-03-02 高明杰 南京信息工程大學物理與光電工程學院

  根據分析二次電子的入射過程及二次電子發射系數的定義,從理論上推導出鋁的較高能二次電子發射系數與原電子入射能量及入射角度的關系。通過計算,得出了發射系數的具體表達式。用該表達式計算得到原電子以不同角度轟擊下鋁的較高能二次電子發射系數理論值。根據該表達式得到的理論數據與已有實驗數據比較符合。

引言

  在具有一定能量的原電子轟擊下,從物體表面發射電子的現象稱為二次電子發射現象。以Wp0表示原電子的入射能量,通常把能量小于50 eV 的二次電子定義為真二次電子,把能量大于50 eV 的二次電子定義為背散射二次電子。二次電子數與原電子數之比定義為二次電子發射系數,用啄來表示;背散射二次電子數與原電子數之比定義為反射系數,用啄re 表示;真二次電子數與原電子數之比定義為真二次電子發射系數,用啄pe 表示;真二次電子與原電子中射入發射體內的原電子數(除去通過彈性散射或者非彈性散射返回的原電子數)之比定

  義為有效真二次電子發射系數 ,用啄eff表示。目前為止,國內已經有不少文獻對金屬在不同入射能量和入射角度的原電子轟擊下二次電子發射系數進行了探討 。

  文中借鑒已有的模型,在其基礎上,通過嚴格而又簡明的數學推導與適當的假設,討論了較高能原電子(入射能量滿足2 eV臆Wp0 <10 eV的原電子稱為較高能量原電子)以不同角度轟擊金屬鋁,其二次電子發射系數的具體表達式,推導結果與實驗數據比較吻合。

1、金屬二次電子發射的物理過程

  1. 1、搖理論模型原電子入射發射體內激發二次電子

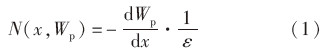
  原電子入射發射體內,在激發內二次電子的同時,本身的能量有所減小,對于一個入射到發射體內(沒有因彈性散射或非彈性散射返回)的原電子,它激發的內二次電子數與它在單位路程上損失的能量dWp / dx 成比例,即

不同入射角度鋁的較高能二次電子發射系數表達式

  式中:x 和Wp 分別為高能原電子的路程和能量;著為激發一個內二次電子消耗的平均能量。

  1. 2、發射體內二次電子逸出表面

  內二次電子向表面運動時,能量損失。內二次電子到達表面的概率為:

不同入射角度鋁的較高能二次電子發射系數表達式

  式中:為吸收系數; a為逸出深度;1/a為x =0 時的逸出幾率。

6、結論

  通過大量的試驗,可以得出空間微小碎片撞擊太陽電池陣能夠產生大量等離子體,誘發放電故障機制不僅是存在的,而且已被列為空間碎片對航天器影響最為嚴重的一種機制,但由于衛星上普遍不具備對微小碎片撞擊太陽電池陣的實時監測設備、難以獲得撞擊誘發放電的直接證據,因此相關研究比較缺乏。就目前來看,完全掌握空間微小碎片撞擊引起的太陽能電池陣放電現象與機理及其太陽能電池陣的防護措施有一些困難。