放電參量對電負性容性耦合等離子體電子密度的影響

2014-02-21 唐中華 蘇州大學物理科學與技術學院

  利用微波共振探針對40.68MHz單射頻容性耦合SF6、Cl2、O2/Ar電負性等離子體電子密度進行了診斷測量。首先,將微波共振探針在Ar等離子體中的測量結果與朗繆爾探針結果進行對比,確定微波共振探針精確測量的實用范圍;其次,運用微波共振探針的測量方法詳細研究了放電參量對電負性容性耦合等離子體電子密度的影響。結果發現,電負性氣體如SF6、Cl2、O2摻入到Ar等離子體中,均大幅度降低了等離子體的電子密度,強電負性氣體的摻入對電子密度的下降尤為明顯,隨著電負性氣體的不斷摻入,電子密度趨于穩定值。文中也解釋了射頻放電功率和放電氣壓對電子密度造成的影響。

  低溫等離子體在材料制備、亞微米量級器件,微電子、光電子器件工藝以及半導體工業中得到廣泛應用。在反應等離子體中,電子密度是反應等離子體的基本參量,原子的激發、等離子體中物質種類的產生速率都與電子密度有關,同時刻蝕速率、沉積速率也都與電子密度緊密聯系,對電子密度的診斷是了解和控制反應等離子體的一個關鍵。人們采用了多種測量方法如朗謬爾靜電探針法、激光光致分離技術、湯姆遜散射法以及微波共振探針法等對等離子體的電子密度進行了較為精確的測量。

  目前,運用最為廣泛的是朗繆爾靜電探針,因為朗繆爾探針結構簡單、使用便捷,而且具有良好的空間分辨率,但是傳統的探針普遍用于電正性等離子體電子密度的測量,在電負性等離子體以及沉積、刻蝕等離子體工藝應用中,探針的電阻特性會受到嚴重干擾,以至于增加了I-V特性曲線的分析難度,難以得到準確的電子密度測量,因而難以反應等離子體內部的真實特性。為了能準確測量電性等離子體中的電子密度,人們開發了基于網絡分析儀的微波共振探針技術。微波共振探針在測量等離子體電子密度過程中,所得數據的變化主要依賴于等離子體內部參數的改變導致探針之間介質介電常數的變化,其他因素幾乎不影響微波探針的診斷,因此微波共振探針的診斷方法在電負性等離子體的測量中能夠有效利用。

  1976年,Stenzel首次提出微波共振探針,并以此測量低氣壓下等離子體電子密度;Piejak在Stenzel的基礎上改善了探針結構,提高了信噪比,同時使用流體模型首次提出對探針進行鞘層修正,之后又運用發夾探針對射頻等離子體進行測量;F.A.Haas考慮到鞘層影響對發夾探針的電子和離子鞘層影響進行了研究;S.K.Karkari使用懸浮發夾共振探針直接測量雙頻容性等離子體的空間電子密度;鄒帥使用懸浮微波共振探針與雙探針測量相比較,證實了微波共振探針在電負性氣體中測量低電子密度的準確性和可實施性,并測量了氟基容性耦合等離子體的電子密度;徐金洲和BrianLSands所在的研究小組分別對高氣壓等離子體密度的診斷做理論與實驗上系統的研究,并將Piejak提出的修正因子拓展到了鞘層半徑較大的情況;Lji Liang使用螺旋型微波共振探針解決了傳統探針無法測量高頻等離子體密度的問題。Braithwaite等通過調制等離子體功率源的相位參數及反射信號,在放電前端施加低頻偏壓進行調制等方法得到了更為準確的等離子密度。近年來,SF6、O2、Cl2等電負性氣體在多晶硅片的干法制絨中起著不可替代的作用,使得人們對電負性等離子體的測量愈發重視。多晶硅干法制絨是太陽能電池片制造的一種重要工藝,并且放電功率、反應氣壓以及源氣體流量比率都是表面形貌形成的重要參量。研究表明,電負性等離子體的電子密度、活性基團的比例、離子轟擊能量是多晶硅表面干法制絨的重要因素。等離子體中的電子輸運到鞘層邊界,在射頻場中獲取能量并反彈進入體等離子體后,與背景氣體分子發生振動與轉動激發、電離以及吸附分解等一系列碰撞反應,這些化學反應機制深刻的影響著等離子體中的電子密度,因此電子密度的測量有助于理解等離子體中電負性氣體發生化學反應。在本文中,利用微波共振探針技術對40.68MHz單頻激發的容性耦合等離子體的電子密度進行測量,通過改變放電等離子體外部參量,如放電功率、放電氣壓以及三種不同電負性氣體與背景氣體Ar的不同流量比,詳細測量了這些外部參數對等離子體電子密度的影響。

1、微波共振探針測量原理

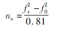
  圖1為傳統發夾探針的簡易圖。如圖1(a)所示,傳統意義上的微波共振探針是一根一端開路、一端短路的四分之一波長的傳導線(l為探針長度),微波從z=-l處入射,在z=0處發射。電子密度ne可以通過fr和f0簡單地表示出來

放電參量對電負性容性耦合等離子體電子密度的影響

  式中,電子密度ne的單位為1010cm-3,頻率fr、f0分別為探針在等離子體與真空中的振動頻率、單位都為GHz。

發夾探針和探針側面簡易圖

圖1 發夾探針和探針側面簡易圖

  在低電子密度的情況(比如電子密度ne=109cm-3,電子溫度Te=2eV)下,鞘層厚度達到毫米量級,此時鞘層在探針之間的介質中占有重要作用,嚴重影響了介電常數的數值大小,因此在這種情況下,就有必要考慮到鞘層影響的存在。懸浮探針的設計使得探針處于懸浮狀態,它的電勢也將隨等離子體變化,通過鞘層的射頻電勢也可以忽略不計,因此可以使用一般的鞘層修正就可以得到更準確的等離子體密度。

4、結論

  文章采用懸浮型微波共振探針技術對40.68MHz激發的單射頻容性耦合SF6、Cl2、O2/Ar電負性等離子體的電子密度進行了診斷測量。首先通過與朗繆爾探針測量結果進行比較,確定了微波共振探針對等離子體電子密度精確測量的適用范圍。并采用微波共振探針的測量方法系統研究了放電參量對摻入不同電負性氣體的容性耦合Ar等離子體電子密度的影響。實驗結果表明,強電負性氣體如SF6、Cl2摻入到Ar等離子體大幅度降低了等離子體的電子密度,而O2的摻入對電子密度的影響遠小于強電負性氣體等離子體。射頻放電功率的增加直接導致了電子密度的上升;而放電氣壓的上升導致了于電子與粒子的兩次碰撞之間的能量增益下降,間接導致了電子密度的下降。